您现在的位置:中国农业仪器网 > 技术文章 > 粗纤维测定方法的改进
粗纤维测定方法的改进
来源: 本站    类别:技术文章    更新时间:2010-07-05    阅读次
      粗纤维测定方法的改进
纤维是指食用植物细胞壁中的碳水化合物和其他物质的复合物。纤维虽然不能被人体消化吸收, 营养价值很低, 但它能吸收和保留水份, 使粪便体积增大, 可促进肠道蠕动, 对血浆中胆固醇有阻止形成和降低作用, 因此, 纤维素有可以预防结肠癌、阑尾炎和心脏病等多种疾病的作用, 是人类食物中不可缺少的重要组成部分。因此, 食物中纤维素的测定就显得十分重要。下面就谈一谈用1.25g/100ml 酸碱剂洗涤法测定纤维素的具体方法。
1 测定原理
样品分别经1.25g/100ml 硫酸和1.25g/100ml 氢氧化钠溶液在沸腾条件下加热30min以将淀粉、果胶、蛋白质、脂肪、部分半纤维素和木质素水解除去, 最后将得到的残渣称量, 减去灰分质量, 即得到粗纤维的含量。
2 仪器用具
a.分析天平: 感量0.0001g;
b.实验用粉碎机;
c.电热板;
d.马福炉;
e.电热鼓风干燥箱;
f.尼龙筛绢JP72×1( 200 目) ;
g.高脚烧杯: 容积600ml;
h.古氏坩埚: 容积25ml;
i.带活门抽气管;
j.抽滤瓶: 容积500ml;
k.干燥剂。
3 试剂
a. 95。乙醇;
b.乙醚;
c.石蕊试纸;
d.酸洗石棉;
e. 1.25g/100ml 硫酸;
f. 1.25g/100ml 氢氧化钠。
4 操作方法
4.1 称取试样: 称取粉碎式样2~3g, 准确至0.0001g, 倒入500ml 烧杯中。如果试样的脂肪含量较高时, 可用提脂肪后的残渣作试样, 或者将试样的脂肪用乙醚抽提除去。
4.2 酸液处理: 向装有试样的烧杯中加入
事先在回流装置下煮沸的1.25g/100ml 的硫酸200ml, 并记下烧杯中液面的高度。盖上表面皿置于电炉上, 在1min 内煮沸, 再继续慢慢煮沸30min。在煮沸过程中, 要加沸水保持液面高度,经常转动烧杯, 到时离开热源, 待沉淀下沉后,用玻璃棉抽滤管吸去上层清液, 吸净后立即加入100~150ml 沸水洗涤沉淀, 再吸上层清液, 用沸水反复洗涤沉淀, 直至用石蕊试纸试验呈中性为止。
4.3 碱液处理: 将抽滤管中玻璃棉并入沉淀中, 加入事先在回流装置下煮沸的准备好的1.25g/100ml 氢氧化钠溶液200ml, 按照酸液处理方法加热微沸30min, 取下烧杯, 使沉淀下沉后, 趁热用处理到恒重的古氏坩埚抽滤, 用沸水将沉淀无损失地转入坩埚中, 洗至中性。
4.4 乙醇和乙醚处理: 沉淀先用热至50~60℃的乙醇20~25ml 分3~4 次洗涤, 然后用乙醚20~25ml 分3~4 次洗涤, 最后抽净乙醚。
4.5 烘干与灼烧古氏坩埚和沉淀, 先在
105℃下烘至恒重, 然后送入600℃高温炉中灼烧30min, 取出冷却称重, 再灼烧20min 至恒重为止。
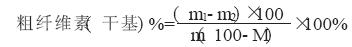
4.6 结果计算
式中:

m: 试验质量( g)
m1: 坩埚与沉淀烘干后总质量( g )
m2: 坩埚与沉淀灼烧后总质量( g)
M: 水分( 。)
以上实验结果允许误差不超过平均值的1。。
5 国标法的缺点
5.1 电热板加热, 温度不好控制, 温度低不能达到1min 内沸腾, 温度过高易产生大量泡沫, 溢出杯外造成试样损失, 实验失败。
5.2 酸碱液处理时, 烧杯要盖上表面皿, 冷凝效果不好, 烧杯内液面高度经常发生变化, 需要随时补充沸水, 此过程麻烦费时又影响测定结果。
5.3 酸碱液处理结束时, 都要用抽滤管吸去清液, 然后再用沸水洗至中性, 此过程用玻璃棉抽滤管吸去清液耗费时间太长, 试样易损失。
6 改进后的方法
6.1 把电热板加热改为糊化控制器加热,此设备有定温定时装置, 既能保证1min 内沸腾, 又能控制恒温, 还有定时报警, 到30min 时自动鸣警提醒, 不用专人控制, 既能保证加热温度, 又能很好控制时间。
6.2 烧杯上盖表面皿, 改为上盖冷凝球, 由冷水循环冷却, 能保证烧杯内酸碱浓度的准确。
6.3 把玻璃棉抽滤改为用200 目尼龙筛绢过滤, 此方法省时省力省能耗, 且操作简便易行。
7 结果对照
7.1 选取同一样品: 含水份为12.5。的小麦粉
7.2 用国标法和改进后的方法作试验, 结果如下:

8 结论
由上述两种方法测定数据可知, 改进后的方法既能省时, 又能省力, 还可以节约能源, 而且测定的结果比国标法误差更小, 更接近真实值。
- 【中国农业仪器网】声明部分文章转载自其它媒体,转载目的在于传递更多信息,并不代表本网赞同其观点和对其真实性负责,且不承担此类作品侵权行为的直接责任及连带责任。如涉及作品内容、版权和其它问题,请在30日内与本网联系。
 
- 上一篇:养猪生产中垫草的作用
 - 下一篇:粗纤维在家兔营养中的作用
 
推荐仪器
           
        最近更新仪器
           
        相关技术文章
           
        








