您现在的位置:中国农业仪器网 > 技术文章 > 索氏煮沸抽提法快速测定粮食、油料中粗脂肪含量的试验
索氏煮沸抽提法快速测定粮食、油料中粗脂肪含量的试验
来源: 本站    类别:技术文章    更新时间:2010-07-02    阅读次
      索氏煮沸抽提法快速测定粮食、油料中粗脂肪含量的试验
中华人民共和国国家标准中规定: 粮食、油料中的粗脂肪含量测定采用索氏抽提法。此方法经过长期操作实践, 存在一定的弊端, 主要是操作时间长、试验人员劳动强度大、水和电等能源消耗多。索氏抽提法测定一个样品仅抽提时间就需要8h 以上, 整个试验自始至终需要12h左右, 工作效率极低。为解决这些问题, 我们进行了长时间的探索和多次测试, 测定结果证明, 用索氏煮沸抽提法测定粮食、油料中的粗脂肪含量, 结果非常理想, 与标准方法———索氏抽提法的测定结果十分接近, 此方法值得推广。
1  索氏煮沸抽提法测定原理
索氏煮沸抽提法是在索氏抽提法的基础上根据乙醚加热后能加快脂肪溶解的原理, 将干燥后的试样在煮沸的乙醚溶剂中快速萃取, 再经过索氏抽提器近2h 的抽提, 使粗脂肪全部提取出来, 回收乙醚后将抽提底瓶烘至恒重,计算测得的粗脂肪含量。
2  仪器与试剂
2.1  仪器
分析天平: 感量0.000 1g ; 电热恒温箱; 电热恒温水浴锅; 粉碎机; 研钵; 备有变色硅胶的干燥器; 滤纸筒;索氏抽提器一套(各部件必须洗净, 用105 ℃温度烘干,其中抽提瓶烘至恒重) ; 广口瓶; 脱脂线; 脱脂棉; 脱脂细砂;粗脂肪测定仪(SZF-06A、SZF-06B两种型号皆可)。
2.2  试剂
无水乙醚(A1R) 。
3  样品制备
①禾谷类粮食和豆类(花生除外) 分取除去杂质的净试样30~50g , 磨碎后通过直径110mm 圆孔筛装入广口瓶内备用。
②小粒油料如芝麻、油菜籽、亚麻籽等分取除去杂质的净试样20g , 装入广口瓶内备用。
③大粒油料如花生果、蓖麻籽、葵花籽、茶籽等分取30~50g 样品, 除杂后, 逐粒剥壳, 仁、壳分别称重, 计算出仁总量百分率, 然后将仁剪碎或切片, 装入广口瓶内备用。
4  操作方法
4.1  试样包扎
从备用的样品中, 用洁净的已知恒重的烘盒精确称取试样2 ~ 5g , 按规定测定水分后再在105 ℃温度下烘30min , 趁热倒入研钵中, 加入约2g 无水脱脂细砂一同研磨。将试样和细砂研磨到出油状后, 干净地转入滤纸筒内(筒底塞一层脱脂棉, 并在105 ℃温度下烘30min) , 用脱脂棉蘸少量乙醚揩净研钵上的试样和脂肪, 并入滤纸筒内, 再用脱脂棉塞入上部, 压住试样, 最后用脱脂线扎住, 滤纸筒不得超过虹吸管的高度, 直径要小于抽提筒的直径, 包扎的试样不得过紧。
4.2  抽提与烘干
将索氏抽提器安装妥当, 然后将包有试样的滤纸筒放入已知恒重的抽提瓶内, 并加入无水乙醚至滤纸筒全部浸没为止(或不得超过瓶体积的一半) , 同时连接好抽提筒与冷凝管, 接通冷凝水, 用水浴锅加热煮沸30min 后提起刚回流后的抽提筒, 用镊子把滤纸筒从抽提瓶中提起直到不滴乙醚时取出, 小心地将滤纸筒放入抽提筒内(注意滤纸筒不要接触瓶口、液滴不要滴在外面) , 再用少量乙醚冲洗瓶子和镊子, 并入抽提瓶内, 连接好抽提器,继续抽提1~2h , 直至抽提筒内的乙醚用玻璃片检查无油迹为止。取出滤纸筒, 回收乙醚,取下冷凝管和抽提筒, 加热除尽抽提瓶中的残余乙醚, 用脱脂棉蘸乙醚揩净抽提瓶外部, 然后将抽提瓶在105 ℃温度下先烘90min , 再烘20min , 烘至恒重为止(前后两次质量差在01000 2g 以内即视为恒重) , 抽提瓶增加的质量即为粗脂肪的质量。
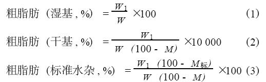
5  结果计算
粗脂肪湿基含量、干基含量和标准水杂含量分别按公式(1) 、(2) 和(3) 计算:

式中, W1 为粗脂肪质量, g ; W 为试样质量, g ; M为试样水分百分率, %; M标为试样标准水分、标准杂质之和, %。双试验结果允许差: 粮食、油料不超过014 % , 大豆不超过012 % , 求其平均数, 即为测定结果。测定结果取小数点后第一位。
6  试验结果与该方法的优点
6.1  试验结果
对每种样品分别用两种方法进行测定其粗脂肪含量,一种方法是索氏煮沸抽提法(本试验研究的方法) , 另一种方法是索氏抽提法(国家标准方法) , 其两种方法测定结果见表1 。

6.2  索氏煮沸抽提法的优点
索氏煮沸抽提法与索氏抽提法比较, 测定一个样品可节省6 ~ 8h 时间, 可节省电能10kW·h 左右, 可节省500kg 的水; 索氏煮沸抽提法在试样磨碎(或切片) 后,直接测定试样水分, 避免了在煮沸和抽提过程中, 由于水分的干扰使抽提后的脂肪产生混浊现象; 索氏煮沸抽提法可一次性测得水分和粗脂肪的含量。
7  结论
从测定结果可以看出, 索氏煮沸抽提法与索氏抽提法相比较, 测定一个样品可省时、省水、省电; 试验结果准确可靠, 试验误差均在要求范围内, 与标准方法相差无几, 完全符合标准要求; 索氏煮沸抽提法在对包有试样的滤纸筒进行煮沸萃取时效果特好, 粗脂肪明显地被萃取到乙醚溶剂中, 值得推广。
- 【中国农业仪器网】声明部分文章转载自其它媒体,转载目的在于传递更多信息,并不代表本网赞同其观点和对其真实性负责,且不承担此类作品侵权行为的直接责任及连带责任。如涉及作品内容、版权和其它问题,请在30日内与本网联系。
 
推荐仪器
           
        最近更新仪器
           
        相关技术文章
           
        








