一品楼ypllt论坛官网 ,一品楼ypl论坛特色,天津风楼阁论坛,快活林楼凤论坛最新消息

ũҵÒÇÆ÷Íø

ÍÁÈÀË®·Ö²âÊÔÒÇÊÇÈçºÎ½øÐÐУ׼¹¤×÷

À´Ô´£º http://www.polyscience.com.cn/ ¡¡Àà±ð£º¼¼ÊõÎÄÕ ¡¡¸üÐÂʱ¼ä£º2013-09-22¡¡ ÔĶÁ´Î

      ½øÐÐũҵÖÖÖ²£¬ÐèÒªÁ˽â×Ô¼Ò¸ûµØÀïÃæÍÁÈÀµÄË®·Öº¬Á¿£¬ÒÔǰ¿Æ¼¼²»·¢´ïµÄʱºò£¬Ò»°ãÊǽèÖúÈâÑ۹۲죬ÊÖ´¥ÃþÕâЩ¼òµ¥µÄ¸Ð¹Ù·½Ê½£¬Ëæ×ÅÉç»á·¢Õ¹£¬Ò»Ð©¾«ÃÜÒÇÆ÷Ïà¼Ì±»Ñз¢³öÀ´£¬ÍÁÈÀ·ÖÎöÒÇ£¬ÍÁÈÀË®·Ö²âÊÔÒǵÈ£¬±»Ó¦ÓÃÔÚũҵÉú²úÉÏ£¬ÎªÅ©ÒµÏÖ´ú»¯Éú²ú×ö³öÀ´¾Þ´ó¹±Ïס£ÕâЩÒÇÆ÷ÔÚÑо¿µÄʱºò£¬Åöµ½ºÜ¶àÄÑÌ⣬²»¹ý¶¼±»ÎÒÃǵĿÆÑ§¼ÒÒ»Ò»½â¾ö£¬ÓÈÆäÊÇÔÚ½øÐÐÒÇÆ÷У׼·½Ãæ·½°¸µÄ½â¾ö£¬ÏÂÃæÎª´ó¼ÒÏêϸ½éÉÜÒ»ÏÂÍÁÈÀË®·Ö²âÊÔÒÇÊÇÈçºÎ½øÐÐУ׼¹¤×÷¡£
¡¡¡¡ÍÁÈÀË®·Ö²âÊÔÒǵÄÔ­ÀíºÍ×é³É£ºÍÁÈÀË®·Ö²âÊÔÒÇÊÇÀûÓÃFDRÔ­Àí£¬Ê¹ÓÃÎȶ¨¿É¿¿µÄ¸ß¾«¶È´«¸ÐÆ÷£¬¸ù¾Ý̽²âÆ÷·¢³öµÄµç´Å²¨ÔÚ²»Í¬½éµç³£ÊýÎïÖÊÖеķ´É䲻ͬ£¬¼ÆËã³ö±»²âÎﺬˮÁ¿¡£ÏÖÔÚÊг¡ÉϸÃÉ豸µÄ²âÁ¿·¶Î§Ò»°ãΪ0¡«100%£¬×¼È·¶ÈÒ»°ãΪ¡À2%¡£
¡¡¡¡ÍÁÈÀË®·Ö²âÊÔÒǰüº¬Ì½Í·£¨´«¸ÐÆ÷£©¡¢Ì½²âϵͳ¡¢ÊÖ³ÖÐźŴ¦ÀíÓëÏÔʾϵͳ¡¢Í¨Ñ¶µçÀ¡¢ÅäÌ×Èí¼þϵͳµÈ4¸ö²¿·Ö£¬Èçͼ1¡£

ͼ1 ÍÁÈÀË®·Ö²âÊÔÒÇ×é³É¿òͼ


¡¡¡¡ÍÁÈÀË®·Ö̽ͷ£¨´«¸ÐÆ÷£©¹¤×÷Ô­Àí£¬ÍÁÈÀË®·Ö̽ͷÓÉÒ»¸öÄÚº¬µç×ÓÆ÷¼þµÄ·ÀË®ÊÒºÍÓëÖ®Ò»¶ËÏàÁ¬µÄ4¸ö²»Ðâ¸ÖÕëµÄ³ÉÐÍ̽Õë×é³É£¬ÕâЩ̽ÕëÖ±½Ó²åÈëÍÁÈÀ¡£Ì½Í·Î²²¿µÄµçÀÂÏßÁ¬½ÓÊÊÒ˵ĵçѹԴºÍÊä³öÄ£ÄâÐźÅ¡£Ë®·Ö̽ͷÊÇÒ»ÖÖ²ÉÓÃÄ£ÄâÐźŴ¦ÀíµÄÉ豸£¬²»¶Ï²úÉúµçÐźźÍÒÔµçѹ±È±íʾµÄÍÁÈÀÐÔÖÊ¡£ÌØÊâÉè¼ÆµÄ´«ÊäÏß²úÉú¸ßƵÐźÅ£¬²âÁ¿ÍÁÈÀ²ÎÊý¡£´«ÊäÏßµÄ×è¿¹ËæÍÁÈÀ×迹±ä»¯¶ø±ä»¯¡£×迹°üÀ¨±í¹Û½éµç³£ÊýºÍÀë×Ó´«µ¼ÂÊ¡£Ñ¡ÓõçÐÅºÅµÄÆµÂÊʹÀë×Ó´«µ¼ÂʵÄÓ°Ïì×îС£¬ÒÔʹ´«ÊäÏß×迹±ä»¯¼¸ºõ½öÒÀÀµÓÚÍÁÈÀ½éµç³£ÊýµÄ±ä»¯¡£ÕâЩ±ä»¯²úÉúÒ»¸öµçѹפ²¨£¬×¤²¨ËæÌ½ÕëÖÜΧ½éÖʵı仯Ôö¼Ó»ò¼õС¾§ÌåÕñµ´Æ÷²úÉúµÄµçѹ¡£Êä³öµçѹÔÚ0¡«1V£¨DC£©±íʾÍÁÈÀ½éµç³£ÊýÔÚ1¡«32Ö®¼ä¡£ÕâÒ»·¶Î§´ú±íÒ»°ã¿óÖÊÍÁÈÀµÄÈÝ»ýº¬Ë®Á¿0.5m3/m-3¡£
¡¡¡¡ÐźŴ¦ÀíÓëÏÔʾϵͳ²ÉÓÃ΢´¦ÀíÆ÷½øÐпØÖÆ¡¢ÔËËã¡¢´æ´¢¡£16λ¾«¶ÈµÄAD±ä»»Æ÷£¬Ê¹²âÁ¿ÏÔʾ¾«¶ÈÌá¸ß£¬²¢ÓÉÒ»¸ö32λµÄÒº¾§ÏÔʾÆ÷ÏÔʾ²âÁ¿½á¹û¡£ÔÚ¶ÔÍÁÈÀË®·Ö½øÐвâÁ¿Ê±£¬ÒDZí¿ÉÒÔÖ±½ÓÏÔʾÈÝ»ýº¬Ë®Á¿¡£Êª¶È̽ͷ²ÉÓÃ¸ßÆµ¼¼Êõ¶Ô±»²â½éÖʵÄÏà¶Ô½éµç³£ÊýKa½øÐвâÁ¿¡£¸ù¾Ý²»Í¬º¬Ë®ÂÊÍÁÈÀ¶ÔӦ̽ͷ¼ì²âµÄ²»Í¬Ä£ÄâÐźţ¨ºÁ·üµçѹÐźţ©£¬¶ÔÎÞ»úÍÁÈÀ½øÐÐÁËÑϸñµÄ±ê¶¨£¬È»ºó°ÑÖÆ×÷µÄ±ê×¼ÇúÏߣ¨º¬Ë®ÂÊ-ºÁ·üµçѹÐźţ©×÷Ϊ±ê×¼ÇúÏߣ¬¾­¹ýÊý¾Ý´¦Àíºó£¬Ö±½Ó°Ñº¬Ë®ÂÊÏÔʾ³öÀ´¡£
¡¡¡¡ÍÁÈÀË®·Ö²âÊÔÒǵÄУ׼ԭÀí£¬´Ó¸ÃÉ豸µÄ×é³É¼°¹¤×÷Ô­ÀíÁªÏëµ½£¬¿ÉÒÔÓÃУ׼¸ÃÉ豸µÄµçÁ¿±ä»¯×¼È·ÐÔÀ´Ð£×¼¸ÃÉ豸µÄ׼ȷÐÔ¡£µ«ÊÇ£¬É豸µçÁ¿ÐźŵÄ׼ȷÐÔÖ»ÄÜ˵Ã÷¸ÃÉ豸ÄÚ²¿ÐźŴ¦Àí·½·¨µÄ׼ȷÐÔ£¬²»ÄÜÍêȫ˵Ã÷¸ÃµçÁ¿ÐźÅÊÇ·ñÕæÊµµØ·´Ó¦ÁËÏàÓ¦±ä»¯µÄʵ¼ÊÍÁÈÀË®·ÖµÄ׼ȷÐÔ£¬ËùÒÔÓÃУ׼µçÁ¿À´Ð£×¼¸ÃÉ豸µÄ·½·¨²»ÍêÈ«ÕýÈ·¡£ÄÇô£¬Ö»ºÃ°Ñ¸ÃÉ豸²â¶¨µÄÍÁÈÀº¬Ë®ÂÊÓëÓøÉÔï·¨²â¶¨µÄº¬Ë®ÂʽøÐбȽÏ£¬Ò²¾ÍÊDzÉÓñȽϷ¨¶Ô¸ÃÉ豸½øÐÐУ׼£¬´Ó¶øÈ·¶¨¸ÃÉ豸²âÁ¿½á¹ûµÄ׼ȷÐÔ¡£
¡¡¡¡ÍÁÈÀË®·Ö²âÊÔÒÇУ׼Êý¾ÝµÄ´¦Àí£¬²ÉÓñȽϷ¨¶ÔÉ豸µÄУ׼£¬Ê×ÏÈ¿¼ÂǵÄÊǸÃÊý¾ÝÊÇ·ñÏßÐÔÏà¹Ø£¬Èç¹ûÊÇÏßÐÔÏà¹Ø¾Í¿ÉÒÔ¼ÆËã³öÒ»ÌõÐÞÕýÇúÏߺÍÐÞÕý¹«Ê½¡£
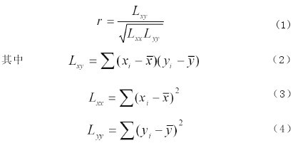
¡¡¡¡Ïà¹Ø¹ØÏµÊÇÒ»ÖÖ·ÇÈ·¶¨ÐԵĹØÏµ£¬Ïà¹ØÏµÊýrÊÇÑо¿±äÁ¿Ö®¼äÏßÐÔÏà¹Ø³Ì¶ÈµÄÁ¿¡£Ïà¹ØÏµÊýµÄÐÔÖÊΪ|r|¡Ü1£¬¼´Ïà¹ØÏµÊýrȡֵÔÚ-1µ½1Ö®¼ä¡£r=0ʱ£¬³Æx£¬yÁ½±äÁ¿²»Ïà¹Ø£»|r|=1ʱ£¬³Æx£¬yÍêÈ«Ïà¹Ø£¬´Ëʱ£¬x£¬yÖ®¼ä¾ßÓÐÏßÐÔº¯Êý¹ØÏµ£»|r|£¼1ʱ£¬xµÄ±ä¶¯ÒýÆðyµÄ²¿·Ö±ä¶¯£¬rµÄ¾ø¶ÔÖµÔ½´ó£¬xµÄ±ä¶¯ÒýÆðYµÄ±ä¶¯¾ÍÔ½´ó£»|r|£¾0.8ʱ³ÆÎª¸ß¶ÈÏà¹Ø£¬µ±|r|£¼0.3ʱ£¬³ÆÎªµÍ¶ÈÏà¹Ø£¬ÆäËûΪÖжÈÏà¹Ø¡£Ïà¹ØÏµÊýµÄ¼ÆË㹫ʽΪ£º

Ïà¹ØÏµÊýµÄ¼ÆË㹫ʽ


¡¡¡¡ÔÚ±¾ÎÄÖУ¬È¡10¸öÍÁÈÀ±êÑù£¬ÏÈÓÃÍÁÈÀË®·Ö²âÊÔÒDzⶨ³ö½á¹û£¨ÓÃx±íʾ£©£¬È»ºó°ÑÕâЩÑùÆ·ÔÙÓøÉÔï·¨½øÐвâÁ¿£¬²â³ö½á¹û£¨ÓÃy±íʾ£©£¬Ëã³öÎó²î¡£²âÁ¿½á¹û¼û±í1¡£

±í1 ÍÁÈÀË®·Ö²âÊÔÒDzⶨ½á¹ûºÍ¸ÉÔï·¨²â¶¨½á¹û


°Ñ±í1µÄÊý¾Ý´úÈ빫ʽ£¨2£©¡¢£¨3£©¡¢£¨4£©£¬¿ÉÒԵóö

x£¬yÁ½¸ö±äÁ¿¼äÏßÐÔÏà¹Ø¹ØÏµÊÇÊôÓÚÖжÈÏà¹Ø


      x£¬yÁ½¸ö±äÁ¿¼äÏßÐÔÏà¹Ø¹ØÏµÊÇÊôÓÚÖжÈÏà¹Ø£¬µ«ÊǺܿ¿½üµÍ¶ÈÏà¹Ø¡£Ò²¾ÍÊÇ˵£¬ÓÃÍÁÈÀË®·Ö²âÊÔÒÇÓë¸ÉÔï·¨²â¶¨ÍÁÈÀË®·Ö£¬Á½·½·¨²â¶¨µÄ½á¹ûÏà¹ØÐÔÊôÖеÈ£¬ËùÒÔ¶Ô¸ÃÉ豸µÄ²âÁ¿Êý¾ÝûÓа취¸ø³öÐÞÕý¹«Ê½»òÐÞÕýÖ±Ïß¡£Ð£×¼Ê±£¬Ö»ÄÜÊÇÑ¡ÔñÓû§×îÐèҪʹÓõķ¶Î§½øÐÐһϵÁÐÊý¾ÝУ׼£¬¸ù¾ÝÆäÎó²î½øÐÐÊý¾Ý´¦ÀíÐÞÕý¡£
¡¡¡¡Í¨¹ý¶ÔÍÁÈÀË®·Ö²âÊÔÒÇÔ­ÀíºÍ½á¹¹×é³ÉµÄ˵Ã÷£¬Í¬Ê±Í¨¹ý´ÓÀíÂÛºÍʵ¼Ê²âÁ¿½á¹û¶ÔУ׼·½·¨½øÐÐÑо¿¡£¶ÔÍÁÈÀË®·Ö²âÊÔÒǵÄУ׼·½·¨£¬¾ÍÊǽ«Æä²âÁ¿½á¹ûÓë¸ÉÔï·¨²âÁ¿½á¹û½øÐбȽÏ£¬¼ÆËã³öÎó²î£¬È»ºó¸ù¾ÝÎó²îµÄ½á¹û½øÐÐÐÞÕýËÝÔ´¡£

  • ¡¾ÖйúũҵÒÇÆ÷Íø¡¿ÉùÃ÷²¿·ÖÎÄÕÂ×ªÔØ×ÔÆäËüýÌå£¬×ªÔØÄ¿µÄÔÚÓÚ´«µÝ¸ü¶àÐÅÏ¢£¬²¢²»´ú±í±¾ÍøÔÞͬÆä¹ÛµãºÍ¶ÔÆäÕæÊµÐÔ¸ºÔð£¬ÇÒ²»³Ðµ£´ËÀà×÷Æ·ÇÖȨÐÐΪµÄÖ±½ÓÔðÈμ°Á¬´øÔðÈΡ£ÈçÉæ¼°×÷Æ·ÄÚÈÝ¡¢°æÈ¨ºÍÆäËüÎÊÌ⣬ÇëÔÚ30ÈÕÄÚÓë±¾ÍøÁªÏµ¡£
top
ÍÆ¼öÒÇÆ÷
»·¿ØÐÍÖ²ÎïÉú³¤±íÐÍ·ÖÎöϵͳ TP-R420D-VC/TP-R1000D-VC/TP-R420D-VCM/TP-R1000D-VCM
ÐͺţºTP-R420D-VC/TP-R1000D-VC/TP-R420D-VCM/TP-R1000D-VCM

©2025 http://www.polyscience.com.cn¡¡°æÈ¨ËùÓУºÕã½­ÍÐÆÕÔÆÅ©¿Æ¼¼¹É·ÝÓÐÏÞ¹«Ë¾

µØÖ·£ºÕã½­Ê¡º¼ÖÝÊй°ÊûÇøÏª¾Ó·182ºÅ

ÁªÏµµç»°£º0571-86056609 0571-86059660 0571-88971438

ÊÛºó·þÎñרÏߣº400-672-1817

ÕãICP±¸09083614ºÅ

Ãâ·Ñ×Éѯ

  • ÔÚÏßѯ¼Û£º QQ
  • ÄÏ:13388425012
  • ΢Ðſͷþ
  • ±±:19032001373
  • ΢Ðſͷþ