ÄúÏÖÔÚµÄλÖãºÖйúũҵÒÇÆ÷Íø > ¼¼ÊõÎÄÕ > ¸ÊÕáÖдÖÏËάº¬Á¿µÄ²â¶¨
¸ÊÕáÖдÖÏËάº¬Á¿µÄ²â¶¨
À´Ô´£º ±¾Õ¾ ¡¡Àà±ð£º¼¼ÊõÎÄÕ ¡¡¸üÐÂʱ¼ä£º2010-06-23¡¡ ÔĶÁ´Î
¸ÊÕáÖдÖÏËάº¬Á¿µÄ²â¶¨
´ó¼Ò¶¼ÖªµÀ£¬¸ÊÕáÊÇÖÆÔìÕáÌǵÄÔÁÏ¡£ËüÊôÓÚ¸ÊÕáÊô£¬ÊÇδøºÍÈÈ´øµÄÅ©×÷ÎȫÇò×î´óµÄ¸ÊÕáÉú²ú¹úλÓÚÄÏÃÀÖ޵İÍÎ÷£¬Æä´Î¾ÍÊÇÓ¡¶ÈºÍÖйú¡£Ò»°ã¸ÊÕáÐèÖÖÔÚÍÁÈÀ·ÊÎÖ¡¢Ñô¹â³ä×ã¡¢¶¬ÏÄβî´óµÄµØÇø£¬ÕâЩµØ·½ÖÖ³öÀ´µÄ¸ÊÕẬÓиü¸ßµÄÌÇ·Ö¡£Í¬Ê±£¬¸ÊÕỹº¬ÓжàÖÖάÉúËØ¡¢Ö¬·¾¡¢µ°°×ÖÊ¡¢ÓлúËá¡¢¸Æ¡¢ÌúµÈÎïÖÊ£¬ÊÇÒ»ÖÖÓªÑøÖ²Îï½ÏΪ·á¸»µÄË®¹û¡£
±¾ÎÄÖ÷Òª½éÉÜÈçºÎ²â¶¨¸ÊÕáÖеĴÖÏËά¡£µ±È»£¬Èç¹ûÄãÏë²â¶¨¸ÊÕáÖеÄÖ¬·¾º¬Á¿£¬ÎÒÃÇÒ²¿ÉÒÔ½èÖúÒÇÆ÷--´ÖÖ¬·¾²â¶¨ÒÇÀ´²âÁ¿¡£Ö»ÊDZ¾ÎÄÖØµãÔÚÓÚ´ÖÏËάµÄ²â¶¨£¬ËùÒÔ¶ÔÓÚ¸ÊÕáÖÐÖ¬·¾º¬Á¿µÄ²â¶¨£¬ÎÒÃDz»×öÕ¹¿ªÌÖÂÛ¡£
¸ÊÕáÖеĴÖÏËά£¬°üÀ¨ÏËÎ¬ËØ¡¢°ëÏËÎ¬ËØ¡¢Ä¾ÖÊËØ¼°½ÇÖʵȳɷ֣¬±È½Ï¸´ÔÓ¡£ÄÇôÈç¹ûÎÒÃǽèÖúÒÇÆ÷À´²â¶¨Ê±£¬ÎÒÃÇ¿ÉÒÔÑ¡Ôñ´ÖÏËά²â¶¨ÒÇ¡¢CXC-06ÏËά²â¶¨ÒÇ£¬¶øÈç¹ûÎÒÃÇÏëҪʵÑéÊÒ·½·¨£¬ÄÇôÏÂÃæµÄһЩ½éÉÜ£¬½«Ìṩ¸øÄã±È½ÏʵÓõķ½·¨¡£
Ê×ÏÈ£¬¸ÊÕáÊÇÊôÓÚ²»Ò×µ·ËéµÄÑùÆ·£¬ÄÇô°´GB 8858²â¶¨³öË®·Öº¬Á¿£¨B1£©¡£Í¬Ê±½«ÑùÆ·ÖÃ80¡æºæÏäºæ¸ÉºóÓ÷ÛËé»ú·ÛË飬ȫ²¿Í¨¹ý0.84mmµÄɸ×Ó¡£ÊÕ¼¯ºó×°Èë¹ã¿ÚÆ¿Öб¸Óá£
Æä´Î׼ȷ³ÆÈ¡ÖƱ¸µÄÑùÆ·Ô¼3g£¬ÖÃ500ml×¶ÐÎÆ¿ÖС£Í¬Ê±³ÆÑù°´GB 8858²â¶¨³öË®·Öº¬Á¿£¨B2£©¡£
³ÆÑùºó£¬ÈôË®·Öº¬Á¿¸ß£¬¿ÉÖÃ80¡æºæÏäÖÐÕô·¢µô´ó²¿·ÖË®·Ö¡£ÈôÖ¬·¾º¬Á¿³¬¹ý1%Õߣ¬¿ÉÓÃÒÒÃѶà´Î½þÅÝ¡¢Ï´µÓÊÔÑù£¬È»ºóÇãÎöÈ¥µôÈܼÁ£¬²»ÄÜËðʧ²ÐÔü£¬×îºó·ç¸É¶àÓàµÄÈܼÁ¡£ÏÂÒ»²½½øÐÐËá´¦Àí£º£¨1£©¼ÓÈë95~100¡æµÄÁòËáÈÜÒº200ml£¨ÊÒÎÂʱÁ¿È¡£©¡£Èç¹ûÆðÅݽ϶à¿ÉÔ¤ÏȼӼ¸µÎÏûÅݼÁ¡£×°ÉÏÀäÄý¹Ü£¬Á¢¼´ÔÚµçÈȰåÉϼÓÈÈÖÁ΢·Ð£¨Ô¼2min£©£¬Î¢·Ð30Ê¿1min¡£Î¢·Ð¹ý³ÌÖÐÐèÒ¡¶¯¼¸´Î×¶ÐÎÆ¿£¬·ÀÖ¹ÊÔÑùÕ´ÔÚÒºÃæÖ®ÉÏ¡££¨2£©Á¬½ÓºÅ³éÂË×°Öã¬Ñ¸ËÙ³éÂË·ÖÀë¡£²¢ÇÒÓÃ95~100¡æµÄÈÈˮϴµÓ²ÐÔüÖÁÂËÒº³ÊÖÐÐÔ£¨À¶É«Ê¯ÈïÊÔÖ½²»±äÉ«£©¡£ÔÙ½Ó׎øÐмÀí£º£¨1£©½«ÁôÓвÐÔüµÄÑÇÂé²¼ÌùÔڶ̾±Â©¶·µÄÄÚ±ÚÉÏ£¬²»Òª¶ÂÈûÏÂË®¿Ú¡£ÓÃ95~100¡æµÄÇâÑõ»¯ÄÆÈÜÒº200ml£¨ÊÒÎÂʱÁ¿È¡£©½«²ÐÔü³åÏ´ÈëÔ×¶ÐÎÆ¿ÖС£×°ÉÏÀäÄý¹Ü£¬Á¢¼´ÔÚµçÈȰåÉϼÓÈÈÖÁ΢·Ð£¨Ô¼2min£©£¬Î¢·Ð30Ê¿1min¡££¨2£©Á¬½ÓºÃ³éÂË×°Öã¨ÆÌÓÐʯÃ޵ĹÅÊÏÛáÛö£©£¬Ñ¸ËÙ³éÂË·ÖÀë¡£ÓÃÁòËáÈÜÒº20ml£¨ÊÒΣ©Ï´µÓ²ÐÔü£¬ÔÙÓÃ95~100¡æµÄÈÈË®³ä·ÖÏ´µÓºó³é¸É£¬È»ºóÒÀ´ÎÓÃÒÒ´¼ºÍÒÒÃÑÏ´µÓÒ»´Î£¨ÍÑÖ¬ÑùÆ·²»ÓÃÒÒÃÑÔÙÏ´£©£¬³é¸É¡£
È»ºóÊǸÉÔïÒÔ¼°»Ò»¯¹ý³Ì¡£¸ÉÔ½«Ê¢ÓвÐÔüµÄ¹ÅÊÏÛáÛöÖÃ130Ê¿2¡æµÄºæÏäÖиÉÔï2hºóÈ¡³ö£¬ÖøÉÔïÆ÷ÖÐÀäÈ´ÖÁÊÒκó³ÆÖØ£¨A1£©¡£»Ò»¯£º½«Ê¢ÓвÐÔüµÄ¹ÅÊÏÛáÛöÖÃ550Ê¿25¡æµÄÂí¸¥Â¯Öлһ¯2h£¬´ýζȽµÖÁ200¡æÒÔÏÂʱȡ³öÖøÉÔïÆ÷ÖÐÀäÈ´ÖÁÊÒκó³ÆÖØ¡£ÔÙ½«¹ÅÊÏÛáÛöÖÃÂí¸¥Â¯Öлһ¯1h¡£Öظ´²Ù×÷Ö±ÖÁ2´Î³ÆÁ¿²î²»³¬¹ý0.5mg£¨A2£©¡£
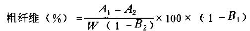
×îºóÒ»²½ÊǼÆËã¡£

ʽÖУºA1¡ª¹ÅÊÏÛáÛö+´ÖÏËά+²ÐÔüÖлҷ֣¬g£»
A2¡ª¹ÅÊÏÛáÛö+²ÐÔüÖлҷ֣¬g£»
W ¡ªÊÔÑùµÄÖÊÁ¿,g¡£
B1¡ª°´µÚ6.2Ìõ²â¶¨µÄË®·Öº¬Á¿£»
B2¡ª°´µÚ7.1.2Ìõ²â¶¨µÄË®·Öº¬Á¿¡£
È¡Á½´Î²â¶¨µÄËãÊõƽ¾ùÖµ×÷Ϊ²â¶¨½á¹û¡£²â¶¨½á¹ûµÍÓÚ10%ʱ£¬2´Î²â¶¨½á¹ûÖ®²îµÄ¾ø¶ÔÖµ²»µÃ³¬¹ý0.4£»²â¶¨½á¹û´óÓÚ10%ʱ£¬2´Î½á¹û½á¹ûÖ®²îµÄÏà¶ÔÖµ²»µÃ³¬¹ý4%¡£
- ¡¾ÖйúũҵÒÇÆ÷Íø¡¿ÉùÃ÷²¿·ÖÎÄÕÂ×ªÔØ×ÔÆäËüýÌå£¬×ªÔØÄ¿µÄÔÚÓÚ´«µÝ¸ü¶àÐÅÏ¢£¬²¢²»´ú±í±¾ÍøÔÞͬÆä¹ÛµãºÍ¶ÔÆäÕæÊµÐÔ¸ºÔð£¬ÇÒ²»³Ðµ£´ËÀà×÷Æ·ÇÖȨÐÐΪµÄÖ±½ÓÔðÈμ°Á¬´øÔðÈΡ£ÈçÉæ¼°×÷Æ·ÄÚÈÝ¡¢°æÈ¨ºÍÆäËüÎÊÌ⣬ÇëÔÚ30ÈÕÄÚÓë±¾ÍøÁªÏµ¡£
- ÉÏһƪ£ºGB/T 15674Ò»1995 ..
- ÏÂһƪ£º´ÖÏËάº¬Á¿µÄ²â¶¨ÔÀí½éÉÜ
ÍÆ¼öÒÇÆ÷
×î½ü¸üÐÂÒÇÆ÷
Ïà¹Ø¼¼ÊõÎÄÕÂ









