ÄúÏÖÔÚµÄλÖãºÖйúũҵÒÇÆ÷Íø > ¼¼ÊõÎÄÕ > GB 10469-89Ë®¹û¡¢Ê߲˴ÖÏËάµÄ²â¶¨·½·¨
GB 10469-89Ë®¹û¡¢Ê߲˴ÖÏËάµÄ²â¶¨·½·¨
À´Ô´£º ±¾Õ¾ ¡¡Àà±ð£º¼¼ÊõÎÄÕ ¡¡¸üÐÂʱ¼ä£º2010-06-22¡¡ ÔĶÁ´Î
GB 10469-89Ë®¹û¡¢Ê߲˴ÖÏËάµÄ²â¶¨·½·¨
±¾±ê×¼²ÎÕÕ²ÉÓùú¼Ê±ê×¼ISO 5498-1981¡¶Å©²úʳƷ´ÖÏËάº¬Á¿µÄÒ»°ã²â¶¨·½·¨¡·¡£
1 Ö÷ÌâÄÚÈÝÓëÊÊÓ÷¶Î§
±¾±ê×¼¹æ¶¨ÁËË®¹û¡¢Ê߲˲úÆ·ÖдÖÏËάµÄ¼ì²â·½·¨¡£
±¾±ê×¼ÊÊÓÃÓÚË®¹û¡¢Ê߲˲úÆ·´ÖÏËάº¬Á¿µÄ²â¶¨¡£
2 ÒýÓñê×¼
GB5009.10 ʳƷÖдÖÏËάµÄ²â¶¨·½·¨
GB 8858 Ë®¹û¡¢Ê߲˲úÆ·ÖиÉÎïÖʺÍË®·Öº¬Á¿µÄ²â¶¨·½·¨
3 ÔÀí
ÑùÆ·Ïà¼ÌÓëÈȵÄÏ¡Ëᡢϡ¼î¹²Öó,²¢·Ö±ð¾¹ýÂË·ÖÀ롢ϴµÓ²ÐÁôÎïµÈ²Ù×÷£¬ÔÙ½øÐиÉÔï¡¢»Ò»¯¡£Ëá¿É½«ÌÇ¡¢µí·Û¡¢¹û½ºÖʺͲ¿·Ö°ëÏËÎ¬ËØË®½â¶ø³ýÈ¥¡£¼îÄÜÈܽ⵰°×ÖÊ¡¢²¿·Ö°ëÏËÎ¬ËØ¡¢Ä¾ÖÊËØºÍÔí»¯Ö¬·¾Ëá¶ø½«Æä³ýÈ¥¡£ÔÙÓÃÒÒ´¼ºÍÒÒÃÑ´¦Àí¡£ËùµÃµÄ²ÐÔü¸ÉÔïºó¼õÈ¥»Ò·ÖÖØ¼´Îª´ÖÏËάº¬Á¿¡£
4 ÒÇÆ÷É豸
a.·ÖÎöÌìÆ½£º¸ÐÁ¿0.0001g£»
b.×éÖ¯µ·Ëé»ú£»
c. ʵÑéÊÒÓ÷ÛËé»ú£»
d.µçÈȰ壻
e.»ØÁ÷×°Öãº500ml×¶ÐÎÆ¿¼°ÀäÄý¹Ü£»
f.ÑÇÂé²¼£ºÊÊÓÃÓÚ´ÖÏËάº¬Á¿²â¶¨£»
g.²¼ÊÏ©¶·£ºÖ±¾¶80mm»ò100mm£»
h.¶Ì¾±Â©¶·£ºÖ±¾¶100mm»ò120mm£»
i.³éÂËÆ¿£ºÈÝ»ý500ml»ò1000ml£»
j.¹ÅÊÏǯ¹ø£ºÈÝ»ý30ml£»
k.µçÈȹķç¸ÉÔïÏ䣻
l.Âí¸¥Â¯£»
m.¸ÉÔïÆ÷£ºÓñäÉ«¹è½º×÷¸ÉÔï¼Á£»
n. ´ÖÏËά²â¶¨ÒÇ¡¢CXC-06ÏËά²â¶¨ÒÇ¡£
5 ÊÔ¼Á
ÊÔ¼Á´¿¶È¾ùΪ·ÖÎö´¿£¬ËùÓÃˮΪÕôÁóË®»òͬµÈ´¿¶ÈµÄË®¡£
5.1ÁòËáÈÜÒº:c(1/2H2SO4,)=0.255Ê¿0.005mol /L£¬ÈÜҺŨ¶ÈÐ뾱궨£»
5.2ÇâÑõ»¯ÄÆÈÜÒº: c (NaOH)=0.313Ê¿0.005mol/ L£¬ÈÜҺŨ¶ÈÐ뾱궨;
5.3 95%ÒÒ´¼£»
5.4 ÎÞË®ÒÒÃÑ£»
5.5 ÏûÅݼÁ£ºÈçÕýÐÁ´¼µÈ£»
5.6 ʯÃÞ£º¼Ó1:3µÄÑÎËáÈÜÒºÓÚʯÃÞÉϲ¢ÇÒÖó·Ð´óÔ¼45min£¬¹ýÂË¡¢Ë®Ï´¡¢¸ÉÔïºóÖÃ550¡æµÄÂí¸¥Â¯ÖÐׯÉÕ16Сʱ¡£È¡³ö·ÅÀäºó¼ÓÈëÁòËáÖó·Ð30·ÖÖÓ£¬È»ºó¹ýÂË£¬ÓÃÕôÁóˮϴ¾»Ëá¡£ÔÙ¼ÓÈëÇâÑõ»¯ÄÆÖó·Ð30·ÖÖÓ£¬È»ºó¹ýÂË£¬ÓÃÁòËáÏ´Ò»´Î£¬ÔÙÓÃˮϴ¾»¡¢ºæ¸ÉºóÖÃ550¡æµÄÂí¸¥Â¯ÖÐׯÉÕ4h¡£ÀäÈ´ºó¼ÓË®³ÉÐü×ÇÎÖü´æÓÚ¹ã¿ÚÆ¿ÖС£
6 ÊÔÑùµÄѡȡºÍÖÆ±¸
6.1 Ò×µ·ËéµÄÑùÆ·£ºÑ¡È¡Óдú±íÐÔµÄÑùÆ·£¬¾×éÖ¯µ·Ëé»úÔȽ¬ºó×°Èë¹ã¿ÚÆ¿Öб¸Óá£
6.2 ²»Ò×µ·ËéµÄÑùÆ·£ºÑ¡È¡Óдú±íÐÔµÄÑùÆ·£¬ÏÈÈ¡Ñù°´GB 8858²â¶¨³öË®·Öº¬Á¿£¨B1£©¡£Í¬Ê±½«ÑùÆ·ÖÃ80¡æºæÏäºæ¸ÉºóÓ÷ÛËé»ú·ÛË飬ȫ²¿Í¨¹ý0.84mmµÄɸ×Ó¡£ÊÕ¼¯ºó×°Èë¹ã¿ÚÆ¿Öб¸Óá£
6.3 ¾²â¶¨Ö¬·¾º¬Á¿£¨c£©ºóµÄ²ÐÔü¹©´ÖÏËάº¬Á¿²â¶¨Óá£
7 ²â¶¨²½Öè
7.1 ³ÆÑù
7.1.1 ׼ȷ³ÆÈ¡°´µÚ6.1Ìõ ÖÆ±¸µÄÑùÆ·Ô¼20g,ÖÃ500ml×¶ÐÎÆ¿ÖС£
7.1.2 ׼ȷ³ÆÈ¡°´µÚ6.2Ìõ ÖÆ±¸µÄÑùÆ·Ô¼3g£¬ÖÃ500ml×¶ÐÎÆ¿ÖС£Í¬Ê±³ÆÑù°´GB 8858²â¶¨³öË®·Öº¬Á¿£¨B2£©¡£
7.1.3 ׼ȷ³ÆÈ¡ÍÑÖ¬²ÐÔü£¨6.3£©Ô¼3g£¬ÖÃ500ml×¶ÐÎÆ¿ÖС£
7.2 Õô·¢Ë®·ÖºÍÌáȡ֬·¾
³ÆÑùºó£¬ÈôË®·Öº¬Á¿¸ß£¬¿ÉÖÃ80¡æºæÏäÖÐÕô·¢µô´ó²¿·ÖË®·Ö¡£ÈôÖ¬·¾º¬Á¿³¬¹ý1%Õߣ¬¿ÉÓÃÒÒÃѶà´Î½þÅÝ¡¢Ï´µÓÊÔÑù£¬È»ºóÇãÎöÈ¥µôÈܼÁ£¬²»ÄÜËðʧ²ÐÔü£¬×îºó·ç¸É¶àÓàµÄÈܼÁ¡£
7.3 Ëá´¦Àí
7.3.1 ¼ÓÈë95~100¡æµÄÁòËáÈÜÒº200ml£¨ÊÒÎÂʱÁ¿È¡£©¡£Èç¹ûÆðÅݽ϶à¿ÉÔ¤ÏȼӼ¸µÎÏûÅݼÁ¡£×°ÉÏÀäÄý¹Ü£¬Á¢¼´ÔÚµçÈȰåÉϼÓÈÈÖÁ΢·Ð£¨Ô¼2min£©£¬Î¢·Ð30Ê¿1min¡£Î¢·Ð¹ý³ÌÖÐÐèÒ¡¶¯¼¸´Î×¶ÐÎÆ¿£¬·ÀÖ¹ÊÔÑùÕ´ÔÚÒºÃæÖ®ÉÏ¡£
7.3.2 Á¬½ÓºÅ³éÂË×°Öã¬Ñ¸ËÙ³éÂË·ÖÀë¡£²¢ÇÒÓÃ95~100¡æµÄÈÈˮϴµÓ²ÐÔüÖÁÂËÒº³ÊÖÐÐÔ£¨À¶É«Ê¯ÈïÊÔÖ½²»±äÉ«£©¡£
7.4 ¼î´¦Àí
7.4.1 ½«ÁôÓвÐÔüµÄÑÇÂé²¼ÌùÔڶ̾±Â©¶·µÄÄÚ±ÚÉÏ£¬²»Òª¶ÂÈûÏÂË®¿Ú¡£ÓÃ95~100¡æµÄÇâÑõ»¯ÄÆÈÜÒº200ml£¨ÊÒÎÂʱÁ¿È¡£©½«²ÐÔü³åÏ´ÈëÔ×¶ÐÎÆ¿ÖС£×°ÉÏÀäÄý¹Ü£¬Á¢¼´ÔÚµçÈȰåÉϼÓÈÈÖÁ΢·Ð£¨Ô¼2min£©£¬Î¢·Ð30Ê¿1min¡£
7.4.2 Á¬½ÓºÃ³éÂË×°Öã¨ÆÌÓÐʯÃ޵ĹÅÊÏÛáÛö£©£¬Ñ¸ËÙ³éÂË·ÖÀë¡£ÓÃÁòËáÈÜÒº20ml£¨ÊÒΣ©Ï´µÓ²ÐÔü£¬ÔÙÓÃ95~100¡æµÄÈÈË®³ä·ÖÏ´µÓºó³é¸É£¬È»ºóÒÀ´ÎÓÃÒÒ´¼ºÍÒÒÃÑÏ´µÓÒ»´Î£¨ÍÑÖ¬ÑùÆ·²»ÓÃÒÒÃÑÔÙÏ´£©£¬³é¸É¡£
7.5 ¸ÉÔï
½«Ê¢ÓвÐÔüµÄ¹ÅÊÏÛáÛöÖÃ130Ê¿2¡æµÄºæÏäÖиÉÔï2hºóÈ¡³ö£¬ÖøÉÔïÆ÷ÖÐÀäÈ´ÖÁÊÒκó³ÆÖØ£¨A1£©¡£
7.6 »Ò»¯
½«Ê¢ÓвÐÔüµÄ¹ÅÊÏÛáÛöÖÃ550Ê¿25¡æµÄÂí¸¥Â¯Öлһ¯2h£¬´ýζȽµÖÁ200¡æÒÔÏÂʱȡ³öÖøÉÔïÆ÷ÖÐÀäÈ´ÖÁÊÒκó³ÆÖØ¡£ÔÙ½«¹ÅÊÏÛáÛöÖÃÂí¸¥Â¯Öлһ¯1h¡£Öظ´²Ù×÷Ö±ÖÁ2´Î³ÆÁ¿²î²»³¬¹ý0.5mg£¨A2£©¡£
»òÕß½«Ê¢ÓвÐÔüµÄ¹ÅÊÏÛáÛöÖÃ600Ê¿15¡æµÄÂí¸¥Â¯Öлһ¯0.5h£¬´ýζȽµÖÁ200¡æÒÔÏÂʱȡ³öÖøÉÔïÆ÷ÖÐÀäÈ´ÖÁÊÒκó³ÆÖØ£¨A2£©¡£
7.7 ͬһÊÔÑùƽÐÐ×ö2´Î²â¶¨¡£
8 ²â¶¨½á¹ûµÄ¼ÆË㹫ʽ
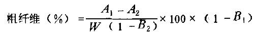
8.1 °´µÚ7.1.1ÌõÈ¡ÑùµÄ¼ÆË㹫ʽ£º
£¨1£©
ʽÖУºA1¡ª¹ÅÊÏÛáÛö+´ÖÏËά+²ÐÔüÖлҷ֣¬g£»
A2¡ª¹ÅÊÏÛáÛö+²ÐÔüÖлҷ֣¬g£»
W --ÊÔÑùµÄÖÊÁ¿,g¡£
8.2 °´µÚ7.1.2ÌõÈ¡ÑùµÄ¼ÆË㹫ʽ£º
£¨2£©
ʽÖУºA1¡ª¹ÅÊÏÛáÛö+´ÖÏËά+²ÐÔüÖлҷ֣¬g£»
A2¡ª¹ÅÊÏÛáÛö+²ÐÔüÖлҷ֣¬g£»
W ¡ªÊÔÑùµÄÖÊÁ¿,g¡£
B1¡ª°´µÚ6.2Ìõ²â¶¨µÄË®·Öº¬Á¿£»
B2¡ª°´µÚ7.1.2Ìõ²â¶¨µÄË®·Öº¬Á¿¡£
8.3 °´µÚ7.1.3ÌõÈ¡ÑùµÄ¼ÆË㹫ʽ£º
£¨3£©
ʽÖУºA1¡ª¹ÅÊÏÛáÛö+´ÖÏËά+²ÐÔüÖлҷ֣¬g£»
A2¡ª¹ÅÊÏÛáÛö+²ÐÔüÖлҷ֣¬g£»
W ¡ªÊÔÑùµÄÖÊÁ¿,g¡£
c¡ª°´µÚ6.3Ìõ²â¶¨µÄÖ¬·¾º¬Á¿¡£
9 ²â¶¨½á¹û
9.1 È¡Á½´Î²â¶¨µÄËãÊõƽ¾ùÖµ×÷Ϊ²â¶¨½á¹û¡£
9.2 ²â¶¨½á¹ûµÍÓÚ10%ʱ£¬2´Î²â¶¨½á¹ûÖ®²îµÄ¾ø¶ÔÖµ²»µÃ³¬¹ý0.4¡£
²â¶¨½á¹û´óÓÚ10%ʱ£¬2´Î½á¹û½á¹ûÖ®²îµÄÏà¶ÔÖµ²»µÃ³¬¹ý4%¡£
- ¡¾ÖйúũҵÒÇÆ÷Íø¡¿ÉùÃ÷²¿·ÖÎÄÕÂ×ªÔØ×ÔÆäËüýÌå£¬×ªÔØÄ¿µÄÔÚÓÚ´«µÝ¸ü¶àÐÅÏ¢£¬²¢²»´ú±í±¾ÍøÔÞͬÆä¹ÛµãºÍ¶ÔÆäÕæÊµÐÔ¸ºÔð£¬ÇÒ²»³Ðµ£´ËÀà×÷Æ·ÇÖȨÐÐΪµÄÖ±½ÓÔðÈμ°Á¬´øÔðÈΡ£ÈçÉæ¼°×÷Æ·ÄÚÈÝ¡¢°æÈ¨ºÍÆäËüÎÊÌ⣬ÇëÔÚ30ÈÕÄÚÓë±¾ÍøÁªÏµ¡£
- ÉÏһƪ£ºÆ»¹ûÖдÖÏËάµÄ²â¶¨·½·¨
- ÏÂһƪ£ºÕý½»Éè¼Æ·¨Ñо¿»¨Éú´ÖÖ¬·¾º¬Á¿²â¶¨..
ÍÆ¼öÒÇÆ÷
×î½ü¸üÐÂÒÇÆ÷
Ïà¹Ø¼¼ÊõÎÄÕÂ









