注水算法
来源: 中国农业仪器网 类别:技术文章 更新时间:2009-07-29 阅读次
迭代注水算法是由Wei Yu提出的,它是一种多用户功率分配算法。这是一种自私算法,当接收端和发送端没有共享信道信息时,它的实现非常简单,复杂度低。但是,当信道上有共享信息,需要共享信道,这是网络拓扑就会出现远近效应,这就产生了非平衡状态,引起用户间信号干扰,信息传输效率下降。

表 基于多用户OFDM功率分配算法表比较
|
算法 |
性能特点 |
|
贪婪算法 |
利用多用户注水算法原理,复杂度低,实现简单,性能较差 收发端不需共享信息时实现简单,需要时,则会引起用户间干扰,导致信道吞吐量下降 |
|
理想优化算法 |
性能优异,计算复杂,实现困难 通过优化甲醛速率求和,考虑各用户发送功率对系统内其他用户间的干扰,合理分配载波资源和发送功率,使整个OFDM系统传输性能最优 |
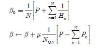
迭代注水算法是以用户吞吐量最大化为目标的。迭代注水算法公式列表如下:

然后求出Lagrange函数:

得:
此时我们再利用迭代算法,得到一个注水水位β,然后就可以求得最优功率分配。这种算法就是我们所说的迭代注水算法。
迭代注水算法中很重要的一步就是确定注水水位β的值。那么,如何快速确定注水水位β的值,也从某种程度上决定了注水算法的优劣。这里,我们提供一种β值的算法,供大家参考。

其中0<β<1。
- 【中国农业仪器网】声明部分文章转载自其它媒体,转载目的在于传递更多信息,并不代表本网赞同其观点和对其真实性负责,且不承担此类作品侵权行为的直接责任及连带责任。如涉及作品内容、版权和其它问题,请在30日内与本网联系。
推荐仪器
最近更新仪器









