ÄúÏÖÔÚµÄλÖãºÖйúũҵÒÇÆ÷Íø > ¼¼ÊõÎÄÕ > ÈçºÎʹÓÿÊ϶¨µªÒDzⶨÄǸöNRÖеĵªº¬Á¿
ÈçºÎʹÓÿÊ϶¨µªÒDzⶨÄǸöNRÖеĵªº¬Á¿
NRÖеĵªÖ÷ÒªÀ´×Ô½ºÈéÖеĴֵ°°×ÖÊ¡£µ°°×ÖʶÔÏ𽺵ÄÐÔÄÜÓнϴóÓ°Ïì,Ò»·½ÃæËüµÄ·Ö½â²úÎï¿ÉÒÔ´Ù½øÏ𽺵ÄÁò»¯¡¢ÑÓ»ºÀÏ»¯,ʹÏð½ºÖÆÆ·ÄÍÓÃ;ÁíÒ»·½ÃæËü¿ÉÔöÇ¿Ï𽺵ÄÎüË®ÐÔ¡¢µ¼µçÐÔÒÔ¼°ÉúÈÈÐÔ,²»ÀûÓÚÖÆÔì¾øÔµÐԵĵ繤Æ÷²Ä,Ó°Ï춯̬ÐÔÄÜ¡£Òò´Ë,²â¶¨NRÖеĵªº¬Á¿ÓÐÖØÒªÒâÒ塣Ŀǰ,´Öµ°°×ÖÊÖеªº¬Á¿²â¶¨¶à²ÉÓÿÊ϶¨µªÒÇ,ÎÒ¹ú¹ú¼Ò±ê×¼ÓëISO±ê×¼¾ù²ÉÓÃÕâÖÖ·½·¨¡£¿Ê϶¨µª·¨×÷Ϊ¾µäµÄ»¯Ñ§·ÖÎö·½·¨,²â¶¨½á¹û׼ȷ¡¢ÁéÃô,µ«´æÔÚ·ÖÎöʱ¼ä³¤¡¢¹ý³Ì¸´ÔÓ¡¢²Ù×÷ȱ·¦°²È«ÐÔµÈȱµã¡£±¾¹¤×÷²ÉÓÃ×Ô¶¯¶¨µªÒDzⶨNRÖеªº¬Á¿,²¢Óë¿Ê϶¨µª·¨²â¶¨½á¹û½øÐбȽϡ£
1 ʵÑé
1.1 ÊÔ¼Á
ÊÔÑéÓô߻¯¼Á¡¢»ìºÏָʾ¼Á¡¢ÅðËáÎüÊÕÒººÍµÎ¶¨ÓÃÑÎËá±ê×¼ÈÜÒºµÈ¾ù°´GB/T 8088)1999ÖеÄÒªÇóÅäÖÆ¡£
1.2 Ö÷ÒªÊÔÑéÒÇÆ÷
×Ô¶¯¶¨µªÒÇ,ÐͺÅKJELTEC 1030,ÈðµäFOSS¹«Ë¾²úÆ·,¾ßÓж¨µªÒÇÕôÁóÆ÷ºÍ×Ô¶¯µÎ¶¨¹¦ÄÜ,×îСµÎ¶¨µ¥Î»Îª0.01 mL,¿É¸ù¾ÝµÎ¶¨¸×ÄÚÈÜÒºÑÕÉ«±ä»¯½øÐÐÖÕµãÅж¨,ÕôÁóÌå»ý´ï250 mL;ÒÇÆ÷ÅäÓÐÄÚÖúãÎÂÆ÷µÄÏû»¯Æ÷,¿ØÎ·¶Î§Îª50~440e¡£·ÖÎöÒÇרÓÃÏû»¯¹ÜÌå»ýΪ250 mL¡£
1.3 ÑùÆ·ÖÆ±¸
°´GB/T 15340)1994[3]¾ùÔÈ»¯ÊÔÑù¡£
1.4 ÊÔÑé·½·¨
(1)Ïû»¯
³ÆÈ¡0.1~0.2 g(¾«È·ÖÁ0.000 1 g)ÑùÆ·ÓÚÏû»¯¹ÜÖÐ,¼ÓÈëÔ¼0.65 g´ß»¯¼Á»ìºÏÎïºÍ3 mLÁòËá,ÓÃÏû»¯Æ÷¼ÓÈÈÖÁÏû»¯ÒºÎª³ÎÇåÂÌÉ«ºó¼ÌÐøÖó·Ð30 min¡£ÀäÈ´,¼ÓÕôÁóË®75 mL´ý²â¡£Í¬Ê±×ö¿Õ°×ÊÔÑé¡£
(2)ÕôÁóºÍµÎ¶¨
É趨ÒÇÆ÷ÖмîÒº±Ã³å³ÌÔ¼20 mL,ÎüÊÕÒº±Ã³å³ÌÔ¼15 mL,ÕôÁóÌå»ýΪ140 mL¡£ÏÈ×ö¿Õ°×ÊÔÑé,ÔÚÈ¡µÃÎȶ¨µÄ¿Õ°×ÖµºóÒÀ´Î²â¶¨ÒÑÏû»¯ºÃµÄÑùÆ·¡£
2 ½á¹ûÓëÌÖÂÛ
2.1 ÕôÁóÌå»ýµÄÈ·¶¨
ÕôÁóÌå»ýÊÇָȷ±£ÑùÆ·ÕôÁóÍêÈ«¡¢½á¹û׼ȷǰÌáϵÄ×îСÕôÁóÒºÌå»ý,ÔÚÊÔÑéÌõ¼þÈ·¶¨µÄÇé¿öÏÂ,ÆäÓëÕôÁóʱ¼äÏà¶ÔÓ¦¡£Í¬Ò»ÑùÆ·ÔÚ²»Í¬ÕôÁóÌå»ýϵªº¬Á¿µÄ²â¶¨½á¹û¼û±í1¡£

ÓÉÓÚÑùÆ·Öеĵª¾Ïû»¯ºóÒÔ(NH4)2SO4ÐÎʽ´æÔÚ,ÔÚÇ¿¼îÌõ¼þϺÜÈÝÒ×ÕôÁó¡£Óɱí1¿ÉÒÔ¿´³ö,µ±ÕôÁóÌå»ý´ïµ½120 mLʱÊÔÑùÒÑ»ù±¾ÕôÁóÍêÈ«,Òò´ËÉ趨ÕôÁóÌå»ýΪ140 mL,ÕôÁóʱ¼äÔ¼4.5 min¡£ËäÈ»ÒÇÆ÷·¨µÄÕôÁóÌå»ýÊÇ¿Ê϶¨µª·¨µÄ2±¶,µ«¿Ê϶¨µª·¨µÄÕôÁóʱ¼äΪ10~12min,ÇÒ²»°üÀ¨µÎ¶¨Ê±¼ä,¶øÒÇÆ÷·¨ÊÇÕôÁ󡢵ζ¨Í¬²½½øÐÐ,Òò´ËÊÔÑéʱ¼ä¿ÉËõ¶Ì2/3¡£
2.2 ÏÔÖøÐÔ¼ìÑé
·Ö±ð²ÉÓÃÒÇÆ÷·¨ºÍ¿Ê϶¨µª·¨¶ÔͬһÑùÆ·Öеªº¬Á¿½øÐвⶨ,½á¹û¼û±í2¡£¸ù¾ÝÊÔÑé½á¹û½øÐÐÏÔÖøÐÔ¼ìÑé¡£
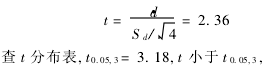
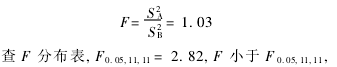
(1)F¼ìÑé·¨
˵Ã÷Á½×éÊý¾ÝµÄ·½²îûÓÐÏÔÖøÐÔ²îÒì,Á½Öֲⶨ·½·¨µÄ¾«ÃܶÈÒ»Ö¡£
(2)t¼ìÑé·¨
˵Ã÷Á½Öֲⶨ·½·¨µÄ½á¹ûûÓÐÏÔÖøÐÔ²îÒì¡£
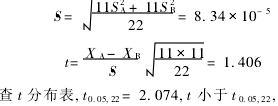
·Ö±ð²ÉÓÃÒÇÆ÷·¨ºÍ¿Ê϶¨µª·¨¶Ô4¸ö²»Í¬ÑùÆ·½øÐвⶨ,½á¹û¼û±í3¡£¸ù¾Ý±í3½á¹û¼ÆËã:
Á½Öֲⶨ·½·¨¼ä²»´æÔÚϵͳÎó²î¡£

3 ½áÓï
²ÉÓÃ×Ô¶¯¶¨µªÒǽøÐÐNRÖеªº¬Á¿²â¶¨,Æä½á¹ûÓë¿Ê϶¨µª·¨²â¶¨½á¹ûÎÞÏÔÖøÐÔ²îÒì,ÊÔÑéʱ¼ä¿ÉËõ¶Ì2/3¡£Í¬Ê±,ÓÉÓÚʵÏÖÁË»úµçÒ»Ì廯¿ØÖÆ,Ïû»¯Ê±¿É×Ô¶¯¿ØÎÂ,Ëõ¶ÌÁËÏû»¯Ê±¼ä;ʹÓôóÏû»¯¹Ü,Ïû»¯Ê±ÑùÆ·ÎÞ·¢ÅÝ¡¢ÅÀ±ÚºÍÕ³ÌùÏÖÏó,±£Ö¤ÊÔÑùÏû»¯ÍêÈ«;´ÓÏû»¯µ½ÕôÁ󡢵ζ¨ÎÞÊÔÑù×ªÒÆ¹ý³Ì,µÎ¶¨ÖÕµã¿É×Ô¶¯Ê¶±ð,¼õÉÙÁËÈËΪÒòËØÔì³ÉµÄÎó²î¡£
Ïà¹ØÒÇÆ÷£ºÏËά²â¶¨ÒÇ
- ¡¾ÖйúũҵÒÇÆ÷Íø¡¿ÉùÃ÷²¿·ÖÎÄÕÂ×ªÔØ×ÔÆäËüýÌå£¬×ªÔØÄ¿µÄÔÚÓÚ´«µÝ¸ü¶àÐÅÏ¢£¬²¢²»´ú±í±¾ÍøÔÞͬÆä¹ÛµãºÍ¶ÔÆäÕæÊµÐÔ¸ºÔð£¬ÇÒ²»³Ðµ£´ËÀà×÷Æ·ÇÖȨÐÐΪµÄÖ±½ÓÔðÈμ°Á¬´øÔðÈΡ£ÈçÉæ¼°×÷Æ·ÄÚÈÝ¡¢°æÈ¨ºÍÆäËüÎÊÌ⣬ÇëÔÚ30ÈÕÄÚÓë±¾ÍøÁªÏµ¡£
- ¡¤ Å©ÒµÆøÏóÔÖº¦¶ÔũҵÉú²úÓ°ÏìµÄ·ÖÎöÓëÆÀ¹À
- ¡¤ Å©ÒµÆøÏóÕ¾µÄ½¨Éè±³¾°ºÍ±ØÒªÐÔ·ÖÎö
- ¡¤ ʹÓÃÒ¶Ãæ»ýÒǽøÐÐʪµØËÉÁÖÒ¶Ãæ»ýÖ¸Êý²â¶¨µÄ·½·¨
- ¡¤ ¼ì²â¿ÕÆøÖжþÑõ»¯Ì¼º¬Á¿µÄÈýÖÖ·½·¨
- ¡¤ ²»Í¬Ë®µ¾Æ·ÖÖÕû¾«Ã×ÂʲⶨÖÐÐèҪעÒâµÄÎÊÌâ
- ¡¤ ÈçºÎ¿ìËÙ¼ø¶¨²»Í¬Ë®µ¾Æ·ÖÖµÄÕû¾«Ã×ÂÊ
- ¡¤ ÓñÃ×ÈÝÖØÓëÍâ½ç»·¾³µÄ¹ØÏµ
- ¡¤ Ö±Á´µí·ÛºÍÖ§Á´µí·ÛÔڽṹÐÔÖÊÉϵIJîÒìÐÔ









