您现在的位置:中国农业仪器网 > 技术文章 > 使用面筋指数仪测试小麦面筋指数的基因型及环境差异
使用面筋指数仪测试小麦面筋指数的基因型及环境差异
小麦面筋指数的基因型及环境差异
1、面筋指数的基因型和环境差异及显著性分析。从表2可知,面筋指数基因型间存在差异。从面筋指数仪的测试结果来看,不同品种冬小麦面筋指数以PH1521最高,是面筋指数最低的PH988-2的1.49倍。其中优麦2号和济麦20无显著差异;其他品种间均达显著或极显著差异。从表2还可以看出,多数品种地点间变异不大,说明在不同环境条件下基因型表现较为稳定。其中PH988-2的变异系数最大,是烟优361的4.47倍。表明在不同环境条件下PH988-2面筋指数存在很大差异,变异范围广,选择潜力大,通过育种途径改善其筋力是可能的。

从表3可知,滕州点面筋指数最大,与其他5个地点均有显著差异;泰安点面筋指数最小,与其他各点亦达显著差异。其中德州与济宁、博兴与济宁无显著差异,其他各点间均有显著或极显著差异。从表3还可以看出,环境间变异系数差别较小,说明面筋指数对环境不敏感,品种的稳定性较大。同一地点的不同品种相比较,其面筋指数的变异系数都较大,但各种植地域间的变异差别不大,说明环境因素的影响较小,基因型是影响面筋指数的主要因素。

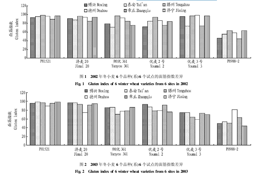
2、小麦面筋指数的年际间差异比较。由图1可知,2002年大多数品种(系)在滕州(91.08)、德州(87.56)、济宁(85.26)点的面筋指数比其他点高,以章丘点(75.63)最低。PH1521和济麦20的环境间面筋指数差异不显著,基因型稳定性强,是优良品种,其他品种环境间差异性较大。6个品种(系)平均面筋指数以PH1521最高,PH988-2最低。表明不同种植区域、不同品种(系)的面筋指数有显著差异,且其基因型效应更为显著。因此,为提高面筋指数不仅应选拔品质好,且稳定性高的品种(系),如PH1521,同时还应选择利于面筋指数增长的特定栽培地区,如滕州、德州,从而实现优质生产。

图2为2003年小麦品种在不同试点的面筋指数情况,可以看出,与2002年相比有较大变化。大多数品种(系)在博兴(82.61)、章丘(82.35)点的面筋指数比其他点高,而以滕州(75.54)点为最低。而6个品种(系)平均面筋指数与2002年相似,仍以PH1521最高,PH988-2最低。且PH1521基因型稳定性强,是优良品种。由2002、2003年的试验结果可以看出,年际间各品种的面筋指数变化较小,有一定的稳定性;而在不同的环境下,面筋指数有较大差异。
- 【中国农业仪器网】声明部分文章转载自其它媒体,转载目的在于传递更多信息,并不代表本网赞同其观点和对其真实性负责,且不承担此类作品侵权行为的直接责任及连带责任。如涉及作品内容、版权和其它问题,请在30日内与本网联系。









