您现在的位置:中国农业仪器网 > 技术文章 > 手持叶面积仪是否适用于针叶的叶面积测量呢?
手持叶面积仪是否适用于针叶的叶面积测量呢?
来源: 类别:技术文章 更新时间:2010-10-29 阅读次
手持叶面积仪是否适用于针叶的叶面积测量呢?
使用手持叶面积仪测量植物的叶面积,这种测量方法比较的准确,同时应用的领域也是比较的广,但是使用这种测量方法来进行测量要注意不能长时间的使用,以免引来误差,同时在测量过程中还须时刻保持透光板干净,否则会影响测量精度,但是在测量针叶树叶的叶面积测量上就不好使用这种测量方法来进行操作了,一般是使用体积法来进行测量。
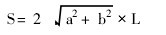
针叶树多以二针、三针或五针一束,不同树种具有不同的横切面,因此,针叶面积的换算公式,主要考虑自身的解剖构造,这个时候就可以采用经验公式法发来进行换算得出叶面积指数。经验公式如下:
(1)云杉

(2)二针松
S=π×L×(d+d1) /2+2dL
(3)三针松
S= (2πR /3+R+R)×L×3
(4)五针松
S= [ (2πR /5) +R+R]×L×5
其中:S:叶面积;a, b:菱形的边长;S:一束针叶叶面积;L:针叶长;D:针叶平坦面的宽度;d1:与平坦面垂直方向的厚度;R:针叶平均内径。
体积法是近年来测定针叶树叶面积常用的方法,这种测量方法是适用于任何一种针叶的叶面积测量,其计算公式如下:

其中:A:叶面积; V:针叶体积(用排水法测定);n:每束针叶数;L:针叶长度。
同其他测定针叶面积的公式相比,此方法可适用于不同横截面的针叶面积,其操作简单,易于推广。便携式叶面积测定仪在针叶的测量上有一定的局限性,但是在其他地方以及领域的测量则是使用比较多的。
使用手持叶面积仪测量植物的叶面积,这种测量方法比较的准确,同时应用的领域也是比较的广,但是使用这种测量方法来进行测量要注意不能长时间的使用,以免引来误差,同时在测量过程中还须时刻保持透光板干净,否则会影响测量精度,但是在测量针叶树叶的叶面积测量上就不好使用这种测量方法来进行操作了,一般是使用体积法来进行测量。
针叶树多以二针、三针或五针一束,不同树种具有不同的横切面,因此,针叶面积的换算公式,主要考虑自身的解剖构造,这个时候就可以采用经验公式法发来进行换算得出叶面积指数。经验公式如下:
(1)云杉

(2)二针松
S=π×L×(d+d1) /2+2dL
(3)三针松
S= (2πR /3+R+R)×L×3
(4)五针松
S= [ (2πR /5) +R+R]×L×5
其中:S:叶面积;a, b:菱形的边长;S:一束针叶叶面积;L:针叶长;D:针叶平坦面的宽度;d1:与平坦面垂直方向的厚度;R:针叶平均内径。
体积法是近年来测定针叶树叶面积常用的方法,这种测量方法是适用于任何一种针叶的叶面积测量,其计算公式如下:

其中:A:叶面积; V:针叶体积(用排水法测定);n:每束针叶数;L:针叶长度。
同其他测定针叶面积的公式相比,此方法可适用于不同横截面的针叶面积,其操作简单,易于推广。便携式叶面积测定仪在针叶的测量上有一定的局限性,但是在其他地方以及领域的测量则是使用比较多的。
- 【中国农业仪器网】声明部分文章转载自其它媒体,转载目的在于传递更多信息,并不代表本网赞同其观点和对其真实性负责,且不承担此类作品侵权行为的直接责任及连带责任。如涉及作品内容、版权和其它问题,请在30日内与本网联系。
- 上一篇:种子千粒重对种子的发芽率以及最终..
- 下一篇:环境记录仪的6大选购指南
推荐仪器
最近更新仪器
相关技术文章









