ÄúÏÖÔÚµÄλÖãºÖйúũҵÒÇÆ÷Íø > ¼¼ÊõÎÄÕ > ÇøÓòÅ©ÌïÍÁÈÀÉÊÇé¼à²âÓ뾫Á¿¹à¸È¼¼ÊõÑо¿
ÇøÓòÅ©ÌïÍÁÈÀÉÊÇé¼à²âÓ뾫Á¿¹à¸È¼¼ÊõÑо¿
À´Ô´£º ±¾Õ¾ ¡¡Àà±ð£º¼¼ÊõÎÄÕ ¡¡¸üÐÂʱ¼ä£º2010-05-21¡¡ ÔĶÁ´Î
Ëæ×ÅÎÒ¹ú½ÚË®¹à¸È¹æ»®ÈÎÎñ²»¶ÏÉîÈë,´Ó¹úÃñ¾¼Ã¿É³ÖÐø·¢Õ¹µÄ½Ç¶ÈÀ´¿¼ÂÇ,µ±Ç°½øÐеĽÚË®¹à¸È¹æ»®ÈÎÎñÊÇÑо¿¼¼ÊõÏȽø¡¢¾¼ÃºÏÀíµÄ¸÷ÖÖ¹¤³Ì´ëÊ©¡¢¿ØÖÆÍ¾¾¶ºÍ·½·¨,¼õÉÙ¹à¸ÈË®µÄÎÞÒæËðºÄ;ÔÚʱ¼äºÍ¿Õ¼äÉϺÏÀíµØ·ÖÅäË®×ÊÔ´,²¢ÔÚÌï¼äÍÆÐпÆÑ§µÄ¹àË®¾ö²ßÓ뾫Á¿¹à¸Èµ÷¿ØÊÖ¶Î,ÒÔ´ïµ½ºÏÀíÀûÓÃË®×ÊÔ´,´Ù½øÅ©Òµ¸ßЧ½ÚË®¼¼Êõ¿É³ÖÐø·¢Õ¹¡£
×÷ΪÐÂÐ˵Äũҵ½ÚË®¿Æ¼¼ÁìÓò,ÔÚ×÷ÎïÉú³¤ÆÚ¶ÔÅ©ÌïÉÊÇéµÄ¼à²â£¨Å©ÌïÉÊÇé¿ÉÒÔÓÃÍÁÈÀÉÊÇéÓ뺵Çé¼à²âÒÇ»òÕßÎÞÏßÉÊÇéÓ뺵Çé¹ÜÀíϵͳ£¬ÕâÁ½¿îÒÇÆ÷¶¼Äܹ»²â¶¨ÍÁÈÀË®·ÖµÄº¬Á¿£¬µ±È»ÈçÐèÒª£¬»¹¿ÉÒԲⶨÍÁÈÀζȡ¢Ë®Êƺ͵絼ÂʵȵȲÎÊý¡££©Ô½À´Ô½Êܵ½ÖØÊÓ¡£Ëü×ۺϼ¯³ÉÁËר¼Ò֪ʶºÍ¾Ñé,²¢Í¨¹ý¼ÆËã»ú½â¾öÎÊÌ⡣ũÌïÍÁÈÀË®·ÖÐÅÏ¢²É¼¯´«¸ÐÆ÷µÄGSM( Global System for Mobile Communications) ÎÞÏß·¢Éä´«Êä×°ÖúÍGSM ÎÞÏßÖÐÐĽÓÊÕ´«Êä×°ÖýáºÏϵͳ¹à¸È¾ö²ßÖ§³ÖÈí¼þ,Íê³É¶ÔÅ©ÌïÍÁÈÀ½øÐÐÉÊÇé¼à²âÓ뾫Á¿¹à¸È¾ö²ß,ʹũÌï¹à¸È´ïµ½¸ßЧÂÊÓÃË®ÓÐÁ˺ÏÀíµÄ¿ÆÑ§ÒÀ¾Ý¡£³ä·ÖÌåÏÖÁ˽ÚˮũҵÁìÓòÇøÓòÅ©ÌïÍÁÈÀÉÊÇéGSM ÍøÂç¼à²â¼¼ÊõµÄ´´ÐÂÓÅÊÆ,ÓÈÆäÔÚÇøÓò»¯»·¾³Å©ÌᆱÁ¿¹à¸È¿ØÖƼ¼ÊõµÈ·½Ãæ,³ä·ÖÀûÓüÆËã»ú×Ô¶¯¿ØÖƼ¼ÊõÉ½Úˮũҵ¸÷ÁìÓòµÄÑо¿,ʹÏà¹ØÑ§¿ÆÖ®¼äÏà»¥ÉøÍ¸»¥Ïà´Ù½øÈÕÇ÷Ã÷ÏÔ¡£
½Úˮũҵ¹à¸È»·¾³¿ØÖÆÏµÍ³¹¤³ÌÊÇÖڶ༼Êõ×ۺϺÍÅäÌ׳ÉÌåµÄϵͳ¼¼Êõ³É¹û,Óë¹úÄÚÍâÏȽø·¢´ï¹ú¼ÒÏà±È,ÎÒ¹úÔÚ×ۺϼ¼Êõϵͳ·½Ãæ´æÔÚ×ÅÒ»¶¨µÄ²î¾àºÍ²»×ã,Ó¦¸ù¾ÝÎÒ¹ú¸÷µØÇø²»Í¬µÄÉúÌ¬ÆøºòÌõ¼þºÍ¾¼Ã·¢Õ¹Ë®Æ½,ÒòµØÖÆÒ˵ØÖƶ¨ºÍ·¢Õ¹ÎÒ¹úµÄ½Úˮũҵ¹æ»®ºÍÏàÓ¦¼¼Êõ¡£Æä¼¼Êõ·Ïß¡¢ÏµÍ³Èí¼þ¡¢Ó¦ÓÃÈí¼þºÍÓ²¼þ×°Öþ¡Á¿×öµ½·ûºÏ¸ßͨÓÃÐԺͼæÈÝÐÔ,ÒÔÊÊÓ¦²»Í¬ÀàÐ͵ĽÚˮũҵÔÔÅà»·¾³¿ØÖÆÏµÍ³Ê¹Óá£
1 ¡¡ÇøÓòÅ©ÌïÉÊÇé¼à²âÒâÒå
ÎÒ¹úË®×ÊԴʱ¿Õ·Ö²¼ÑÏÖØ²»Æ½ºâ,81 %µÄË®×ÊÔ´¼¯Öзֲ¼ÔÚ³¤½Á÷Óò¼°ÒÔÄϵØÇø,³¤½ÒÔ±±µØÇøÈ˿ں͸ûµØ·Ö±ðÕ¼ÎÒ¹úµÄ45. 3 %ºÍ64. 1 % ,¶øË®×ÊÔ´È´½öռȫ¹úµÄ19 % ,È˾ùÕ¼ÓÐÁ¿Îª517 m3 ,Ï൱ÓÚÈ«¹úÈ˾ùÁ¿µÄ1/5 ºÍÊÀ½çÈ˾ùÁ¿µÄ1/20 ,Ë®×ÊÔ´ÓëÉú²ú·¢Õ¹²»ÏàÊÊÓ¦µÄ³Ì¶ÈÍ»³ö,ÍÁµØÉ³Ä®»¯Ç÷ÊÆÈÕÇ÷ÑÏÖØ¡£ÓÈÆäÊÇÎ÷±±¸ÉºµµØÇøµÄн®¡¢ÇຣµÈµØµÄ´óÃæ»ý¸ê±Ú̲,ÒòÎÞ¹à¸È,Ò²¾ÍûÓÐũҵ¡£½µË®ÄêÄÚ·ÖÅä²»¾ù,¶¬´ºÉÙÓê¡¢ÏÄÇï¶àÓê,Ñ´ÆÚÓêÁ¿¹ýÓÚ¼¯ÖÐ,³£ÒÔ±©ÓêÐÎʽ³öÏÖ,ÀûÓÃÄѶȺܴó,·ÇÑ´ÆÚÓÖË®Á¿È±·¦¡£½µË®Á¿Äê¼Ê±ä»¯´ó,·áË®ÄêÓë¿ÝË®ÄêÏà²îÐüÊâ,ʹˮºµÔÖº¦ÆµÆµ·¢Éú,ÉõÖÁͬһµØÇøÓÐʱºµÀÔ½Óõà¶øÖÁ,½»Ìæ³ÉÔÖ¡£
´ÓÈ«¹ú¶ÔË®×ÊÔ´Á¿×ܵÄÐèÇóÀ´¿´,ÔÚ³öÏÖÖеȸɺµµÄÇé¿öÏÂ,È«¹ú×ÜÐèË®Á¿Îª5 500 ÒÚm3 ×óÓÒ,ȱˮÁ¿Ô¼Îª250 ÒÚm3 ¡£Èô¿¼Âǹ©Ë®ÖеĵØÏÂË®³¬²ÉºÍ³¬±ê×¼ÎÛˮֱ¹àµÈ²»ºÏÀí¹©Ë®ÒòËØ,ÔòÈ«¹úʵ¼ÊȱˮÁ¿300¡«400 ÒÚm3 ¡£Å©ÒµÊÇÎÒ¹úµÄÓÃË®´ó»§,Լռȫ¹ú×ÜÓÃË®Á¿µÄ73 % ,µ«ÓÐЧÐԺܲî,Ë®×ÊÔ´ÀË·ÑÊ®·ÖÑÏÖØ,Çþ¹àÇøË®µÄÓÐЧÀûÓÃÂÊ40 % ,¾®¹àÇø60 % ,ÿ1 m3 Ë®Éú²úÁ¸Ê³²»×ã1 kg¡£¶øÒ»Ð©·¢´ï¹ú¼ÒË®µÄÓÐЧÀûÓÃÂʿɴï80 %ÒÔÉÏ,ÿ1 m3 Ë®Éú²úÁ¸Ê³¿É´ï2 kg ÒÔÉÏ,ÆäÖÐÒÔÉ«Áдï2. 32 kg¡£ÓÉ´Ë˵Ã÷,ÎÒ¹ú¸÷ÖÖ½Úˮũҵ¼¼ÊõµÄ×ÛºÏÓ¦Óó̶ȵÍ,Óë·¢´ï¹ú¼ÒÏà±È»¹´æÔÚןܴóµÄ²î¾à¡£Í¬Ê±,Ò²¿´µ½ÁËÔÚÖйú·¢Õ¹½ÚˮũҵµÄ¾Þ´óDZÁ¦ºÍ¹ãÀ«Ç°¾°¡£
Ëæ×ÅÍÁÈÀË®·Ö´«¸ÐÆ÷¼¼Êõ¡¢GSM ͨѶ¼¼Êõ¡¢GIS( Geograp hic information system) ¼¼ÊõµÈѸËÙ·¢Õ¹ºÍÇøÓò»·¾³ÒªËؼà²âµÄÐèÇóÔö³¤,ÈËÃǶÔÒÆ¶¯Ä¿±ê¼à¿ØµÄÒªÇóÔ½À´Ô½¸ß,²»½öÐèÒªÖªµÀÒÆ¶¯Ä¿±êµÄλÖÃ,»¹ÐèÒª¶ÔÒÆ¶¯Ä¿±êµÄ·´À¡²ÎÊý¡¢±¨¾¯ÐÅÏ¢¡¢ÔËÐÐ״̬µÈÊý¾Ý½øÐÐʵʱ¼à¿ØºÍ´¦Àí¡£ÀûÓô«¸ÐÆ÷²É¼¯°üÀ¨ÍÁÈÀË®·Ö,¿ÕÆøÎ¶ÈÊʶȵȻ·¾³ÒªËØ,ͨ¹ý¾ÖÓòÐÔµÄÎÞÏßÍøÂ罫²É¼¯ÐÅÏ¢´«Ë͵½¿ØÖÆÖÐÐÄ,×÷ΪÖÐÐÄ¿ØÖÆÏµÍ³ÊµÊ©´óÌï×÷Îï×Ô¶¯¹à¸ÈµÄÒÀ¾Ý¡£ÉÏÊöÇøÓò»·¾³¼à²âÍøÂç¼¼Êõ¼¯³ÉÔÚÆä×Ô¶¯¹à¸È¿ØÖÆÏµÍ³ÖÐÓÐ׿«ÆäÖØÒªµÄ×÷Óá£Ñз¢µÄ¼¼ÊõÓë²úÆ·ÔÚʾ·¶ÇøÓ¦Óúó,ÔÚά³Ö²úÁ¿²»±ä»òÌá¸ßµÄǰÌáÏÂ,×÷ÎïÉúÓýÆÚÄڵĹà¸È¶¨¶î±È³£¹æ¹àË®Ìõ¼þϼõÉÙ20 % ,Ë®·ÖÀûÓÃЧÂÊÌá¸ß25 %¡«30 %¡£
2 ¡¡¾«Á¿¹à¸Èϵͳ¼¼Êõ
ÀûÓÃGSM ÍøÂçÔØÌåÔÚÌï¼ä²É¼¯ÍÁÈÀ¶¯Ì¬Ë®·ÖÐÅÏ¢ÊÇÌï¼ä²É¼¯µÄÖØÒªÊֶΡ£ÐÅÏ¢ÊÕ·¢×°Öð´ÄÚ²¿É趨µÄʱ¼ä¹æÂɽ«²É¼¯µ½µÄÍÁÈÀË®ÊÆ¶¯Ì¬²ÎÊýͨ¹ýGSM ÍøÂçÔØÌå·¢ËͳöÈ¥¡£ÉÏλѲ²âÎÞÏßÊÕ·¢×°ÖÃ(¿ÉÒÔ¶à¸ö) ͨ¹ýGSM ÍøÂçÔØÌ彫½ÓÊÕµ½µÄÍÁÈÀË®ÊÆ¶¯Ì¬²ÎÊý¼Ó¹¤ºó´«¸øÖÐÐļÆËã»ú¡£¼ÆËã»ú½«²É¼¯µÄÐÅÏ¢´¦Àíºó¹éÈë¼ÆËã»úÈí¼þ¼à²âÓë¾ö²ßϵͳ¡£ÏµÍ³¸ù¾ÝÍÁÈÀÌØÕ÷ÎïÀí²ÎÊý¼°Ïà¶ÔÖÖÖ²×÷Îï,¼ÆËãÏÖ³¡¸÷¹à¸ÈÇøÓòµÄÍÁÈÀº¬Ë®Á¿×´Ì¬¡¢Ðè¹à¸ÈË®Á¿¡£°´¹à¸ÈÃæ»ýºÍ±Ã³öË®Á¿¼ÆËã³öÏÖ³¡¹à¸Èʱ¼ä¼°¹à¸ÈË®Á¿Ê±¼äÖÜÆÚÔ¤²â¡£ÏµÍ³Í¬Ê±Ò²¶Ô¸÷¹à¸ÈÇøÓòµÄÌï¼äÍÁÈÀË®·ÖÐÅÏ¢²É¼¯ÊÕ·¢×°ÖúÍÉÏλѲ²âÎÞÏßÊÕ·¢×°ÖõĻ¥¶¯¹¤×÷״̬½øÐÐͬ²½¼à²â ¡£Èç³öÏÖÎÊÌâ,¼ÆËã»ú¿ØÖÆÖÐÐÄϵͳ½«¼°Ê±¶ÔÏÖ³¡Ë®ÊÆ´«¸Ð±äËÍÆ÷¡¢ÎÞÏßÊÕ·¢×°ÖõÄ΢´¦ÀíÆ÷¡¢ÉÏλѲ²âÎÞÏßÊÕ·¢×°ÖÃ,×÷³öʱ¼äºÍϵͳ¾ÀÕý,ÐγÉÒ»¸öÎȶ¨µÄÍÁÈÀÉÊÇé¼à¿ØÒ£²âϵͳ¡£Å©ÌïÉÊÇéGSM ÍøÂç¼à²âÓ뾫Á¿¹à¸È¿ØÖƼ¼ÊõÈí¼þϵͳÄÜʵÏÖÎÞÏßË«ÏòÊý¾ÝͨѶ,¹à¸È¾ö²ßºÍ½øÐдóÃæ»ý¶àµÀ¹à¸È³ÌÐò¿ØÖÆ,Ìá¸ß¾ùÔȶÈ,ʵÏÖÉú²ú¹ý³ÌÁ¿»¯¿ØÖÆ ¡£
3 ¡¡ÏµÍ³Èí¼þ
Õû¸öÅ©ÌïÉÊÇéGSM ¼à¿ØÏµÍ³ÖÐ,Èí¼þϵͳ²»½öÄÜÌá¹©ÇøÓò¹à¸È¾ö²ßÊý¾ÝºÍÏà¶ÔÓ¦µÄ¾«Á¿×Ô¶¯¿ØÖÆÄ£Ê½,»¹Ô¤ÉèÁ˳£ÓõĿØÖÆÄ£Ê½¡£ÔÚһЩ¶Ô¹à¸È»·¾³¿ØÖƿɿ¿ÐÔÒªÇóºÜ¸ßµÄÓ¦ÓÃÖÐ,»¹°üÀ¨ÁËÈí¼þÄ£¿éÈȱ¸·Ý,һЩ¹Ø¼üÄ£¿éÔÚÉè¼ÆÉÏÓÐÒ»¸ö»ò¶à¸ö±¸·Ý,Èí¼þ»òÓ²¼þϵͳ³öÏÖÎÊÌâʱ,¿ÉÒÔͨ¹ýÌØÊâµÄÈí¼þÄ£¿é×Ô¶¯Çл»µ½±¸·Ý,´Ó¶ø±£Ö¤ÁËϵͳ²»¼ä¶Ï¹¤×÷¡£ÏµÍ³°üÀ¨Æß¸ö²¿·Ö: ƽ̨²Ù×÷Ä£¿é; GSM Ë«ÏòͨѶģ¿é;ÐÅÏ¢²É¼¯Ä£¿é;Êý¾Ý·ÖÎöÄ£¿é;¿ØÖƾö²ßÄ£¿é;Êý¾Ý´¦ÀíÄ£¿é;½Ó¿ÚÇý¶¯Ä£¿é(ͼ1) ¡£

4 ¡¡ÏµÍ³Ó²¼þ
ÔÚ¾«Á¿¹à¸Èϵͳ¿ØÖÆÓ²¼þ¿ª·¢¹ý³ÌÖÐ,ϵͳ¿É¿ØµÄ·¶Î§´ó,Ó²¼þµÄͨÓÃÐÔ¡¢±ê×¼ÐԺͿÉÀ©Õ¹ÐÔÊǹؼü¡£Ñо¿¿ª·¢ÏȽøµÄÎÞÏßͨѶÊÕ·¢×°ÖÃΪ´ó·¶Î§ÇøÓò¹à¸ÈȺ¿ØÌṩÁËÓ²¼þ»ù´¡¡£ÓÉÓÚ¹à¸ÈÇøÓòÁÉÀ«,ÔÚÖÐÑë¿ØÖÆÊÒÉèÓÐÎÞÏßѲ²âÖÐÐÄͨѶÊÕ·¢×°ÖÃ,Íê³ÉÏÖ³¡ÖÚ¶àÍÁÈÀ²É¼¯¶¯Ì¬Êý¾ÝµÄ¿Õ¼ä´«Êä ¡£Õû¸öÓ²¼þϵͳ²»½ö×öµ½ÎÞÏßÍøÂçÔØÌåϵÄÐÅÏ¢´¦Àí¼Ó¹¤¡¢°²È«ÐÅÏ¢¹ÜÀí,ÇÒϵͳ¸÷²¿·Ö¿ØÖÆÏà¶Ô¶ÀÁ¢¡£¿ØÖƲÎÊýÐÞ¸ÄÎÞÏßÓëÔÚÏß±ãЯ»¯,ÎÞÌ«¶àµÄ¹ÜÏßÐèÒª·óÉèºÍά»¤,ϵͳ¾ßÓÐÒ»¶¨³Ì¶ÈÉϵÄÈÝ´íÐÔÄÜ,¾Ö²¿µÄË𻵲»»áÓ°ÏìÕû¸öϵͳµÄ¹¤×÷¡£
4. 1 ¡¡ÏµÍ³Ó²¼þÖØÒª²¿¼þÖ®Ò»(ÂñÈëʽÍÁÈÀË®·ÖÐÅÏ¢²É¼¯GSM ÎÞÏßÊÕ·¢´«¸Ð±äËÍ×°ÖÃ)
ÉÏλ»úͨ¹ý´®¿ÚÁ¬½ÓÎÞÏßѲ²âÖÐÐĽÓÊÕ´«Êä×°ÖÃ,ÒÔGSM ÍøÂçÎªÔØÌåµÄÎÞÏßͨÐÅ¿ØÖÆ·½Ê½Íê³ÉÉè¼ÆËùÒªÇóµÄÒÔË«Ïò´«Êä¡¢¶à·ÖÖ§½á¹¹ÐÎʽµÄÇøÓòÅ©ÌïÉÊÇé¼à²âÍøÂç»·¾³¼à¿Ø¡£Ìï¼äÍÁÈÀË®·Ö²É¼¯´«¸ÐÆ÷ͨ¹ý΢´¦ÀíÆ÷Íê³Éµ×²ãÇøÓò¹à¸ÈµÄË®·Ö¼à²âºÍÎÞÏßͨÐÅ¿ØÖÆ¡£ÏµÍ³²»½ö×öµ½ÔÚGSM ÍøÂçÔØÌåϵÄÐÅÏ¢´¦Àí¼Ó¹¤¡¢°²È«ÐÅÏ¢¹ÜÀí¡¢°²È«Âë¼ì²âÓëµ÷ÖÆ¡¢´«¸ÐÆ÷¼ì²â¡¢µçÔ´¼à²âÓëÀ×»÷±£»¤,ÇÒϵͳ¸÷²¿·Ö¿ØÖÆÏà¶Ô¶ÀÁ¢¡£
Ë®·Ö²É¼¯Ä£¿éÖ÷ÒªÓÉDPA ת»»¡¢µç³Ø¹ÜÀíºÍÔËËã·Å´óÆ÷×é³É¡£Í¨Ñ¶¿ØÖÆÖ÷ÒªÆ÷¼þÊÇSIM ¿¨,E5111оƬÄÚ¼¯³ÉÁËTCPPIP ÐÒé,ͨ¹ýרÓýӿÚÓë΢´¦ÀíÆ÷Á¬½Ó¡£Ã¿¸öÍÁÈÀË®·Ö²É¼¯GSM ÊÕ·¢×°ÖþùÓɶÀÁ¢µç³Ø¹©µç,Õý³£¹¤×÷ʱ¼ä´óÓÚ3 Äê¡£
΢´¦ÀíÆ÷²ÉÓÃÃÀ¹úA TMEL ¹«Ë¾µÄA TMEGA128 Æ÷¼þ¡£±¸ÓÃIPO Ö÷ÒªÓÃÓÚ¼üÅÌ¡¢ÏÔʾ½Ó¿Ú,¿É×÷¼òµ¥µÄÈË»ú½»Á÷¡£ÏÔʾÇý¶¯µç·Ö÷ÒªÓÃÀ´ÏÔʾϵͳÄÚ²¿×´Ì¬¡£ÂñÈëʽÍÁÈÀË®·ÖÐÅÏ¢²É¼¯GSM ÎÞÏßÊÕ·¢×°ÖÃÓÉÒÔϲ¿·Ö×é³É,´«¸ÐÆ÷²É¼¯²¿·Ö:¹©µç(¸ßÎȶ¨µçѹ) ¡¢ºãÁ÷¿ØÖÆ¡¢ÎïÀí´«¸ÐÆ÷,Ö÷ÒªÊǽ«ÍÁÈÀµÄº¬Ë®Á¿×ª»»³É¶ÔÓ¦µÄµçÁ¿;Ä£Êýת»»²¿·Ö:Ö÷ÒªÊǵÍͨÂ˲¨Æ÷¡¢10 λÊýת»»ÒÔ¼°»ù×¼µçÔ´×é³É;ÖÐÑë¿ØÖÆ²¿·Ö:΢´¦ÀíÆ÷ÓÃÓÚ¶ÔÊý¾ÝµÄ´¦Àí¼°¿ØÖÆÊÕ·¢Êý¾Ý(°üÀ¨·¢Éäµ¥ÔªÄÚ²¿ÐÅÏ¢:µç³ØµçÁ¿¡¢Ð£Õýʱ¼ä) ;´æ´¢Æ÷²¿·Ö:Ö÷ÒªÊÇÓÃÓÚ΢´¦ÀíÆ÷Êý¾Ý»º³åºÍ´æ´¢;µçÔ´²¿·Ö:Ö÷ÒªÓиßÐÔÄÜÈÝÁ¿µç³Ø,³ä·Åµç¿ØÖƵç·ºÍµç³Ø¼ì²â;ͨѶģ¿é²¿·Ö: GSM Ðźŵ÷ÖÆ,ÌìÏß;ͨѶÀ©Õ¹¼°´®¿Ú²¿·Ö:Ö÷ÒªÌṩIPO À©Õ¹ºÍÓëÉÏλ»ú485 ´®¿ÚÁ¬½Ó;À×»÷±£»¤²¿·Ö:Ö÷ÒªÓÉרÓÿìËÙÎüÊÕÆ÷¼þ×é³É;Íâ¿Ç:Ö÷Òª×÷ÓÃÊǽ«´«¸ÐÆ÷Ðźŷ¢ËͳöÈ¥(ͼ2) ¡£

4. 2 ¡¡ÏµÍ³Ó²¼þÖØÒª²¿¼þÖ®¶þ
ÀûÓÃÔÚɽ¶«Óí³ÇÊÔÑéÕ¾ºÍºÓÄÏ·âÇðÊÔÑéÕ¾½øÐеÄÍÁÈÀË®·Ö´«¸ÐÆ÷ÊÊÓ¦ÐÔ·ÖÎöµÃ³öÒÔÏ·ÖÎöÊý¾Ý:¼ÙÉè´«¸ÐÆ÷²âÁ¿ÆµÂʵÄÁ¿³ÌΪ0¡«50 kHz¡£ÔÚ¸ÃÁ¿³Ì·¶Î§ÄÚ,ÒÀ¾ÝÍÁÈÀË®·Ö´«¸ÐÆ÷µÄ±ê¶¨ÇúÏß,»æÖƸ÷¸ö´«¸ÐÆ÷µÄË®ÊÆ2ƵÂÊÇúÏß,°´Âʶ¨¹«Ê½¼ÆËãµÄË®ÊÆËæÆµÂʵÄÔö¼Ó¶øÔö´ó(ͼ3) ¡£
·Ö±ðÀûÓÃÓí³ÇÕ¾ÍÁÈÀ¡¢·âÇðÕ¾ÍÁÈÀµÄË®·ÖÌØÕ÷ÇúÏß,½«Ë®ÊÆ×ª»»³ÉÍÁÈÀÌå»ýº¬Ë®Á¿¡£
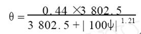
Óí³ÇÕ¾ÈÀÍÁµÄË®·ÖÌØÕ÷ÇúÏß:

ÆäÖЦÈΪÌå»ýº¬Ë®ÂÊ(cm3/cm3 ) ,¦×ÎªË®ÊÆ(kPa) ¡£
·âÇðÕ¾ÍÁÈÀË®·ÖÌØÕ÷ÇúÏß:
¦È= 0. 45p - 0. 2611
ÆäÖЦÈΪÌå»ýº¬Ë®ÂÊ(cm3Pcm3 ) ,P ΪÍÁÈÀË®ÊÆ(kPa) ¡£
»æÖÆÓí³ÇÕ¾¡¢·âÇðÕ¾ÍÁÈÀË®ÊÆ-ÍÁÈÀº¬Ë®Á¿ÇúÏß(ͼ4) ¡£


5 ¡¡ÏµÍ³Í¨Ñ¶Ó뾫Á¿¹à¸ÈÇý¶¯
¸ù¾ÝÇøÓòÅ©ÌïÍÁÈÀ²»Í¬µÄÍÁÖʺÍ×÷Îï,²ÉÈ¡ºÏÀí·Ö²¼ÂñÈëÍÁÈÀÖнøÐÐË®·ÖÐÅÏ¢¼à²âµã²ÉÑù,ÓÉÊÕ·¢¹ý³Ì¿ØÖƼ¶ºÍÖÐÐļÆËã»ú¿ØÖƾö²ß¼¶×é³ÉµÄÒ»¸öÒÔGSM ÍøÂçΪŦ´øµÄ¼¯ÖÐ¼à¿Ø¶ø¹à¸ÈÏÖ³¡¼à²âÏà¶Ô·ÖÉ¢¡¢ÅäÖÃÁé»î¡¢×é̬·½±ã¡¢ÏÖ³¡É豸װÖÃÒþ±ÎÐÔÇ¿µÄ¾ßÓи߿ɿ¿ÐÔµÄʵÓÃϵͳ¡£
SMS(Short Messaging Service) ¶ÌÏûÏ¢ÒµÎñÊÇGSM ÍøµÄÒ»ÏîÔöÖµÒµÎñ,ͨ¹ý¿ØÖÆÐŵÀ´«ÊäÊý¾Ý,Ö§³Öµã¶ÔµãÏûÏ¢ÒµÎñ¼°ÏûÏ¢¹ã²¥ÒµÎñµÈ¶àÖÖ·½Ê½¡£Ë®·Ö²É¼¯µÄÊý¾Ýͨ¹ýGSM ÍøÈ«²¿·¢Ë͵½¶ÌÏûÏ¢ÒµÎñÖÐÐÄ,¼à¿ØÖÐÐÄͨ¹ýÖмÌÏß·DDN (Digital Data Network) ´Ó¶ÌÏûÏ¢ÒµÎñÖÐÐÄ»ñÈ¡Êý¾Ý ¡£
ÀûÓÃGSM ½øÐеÄÍÁÈÀÉÊÇé¼à²âSMS ´«ÊäÊý¾ÝµÄÉè¼Æ·½·¨(ͼ5) ,ϵͳÉèÖÃÒÔÎÞÏßÍøÂçÎªÔØÌåµÄͨѶÇý¶¯¿ØÖÆDDC(Digital Data Converter) ,½«·Ö²¼ÔÚ¹à¸È¼à²âÏÖ³¡µÄ¸÷ÖÖÏà¹ØÓ²¼þÉ豸Çý¶¯¿ØÖÆÆ÷ͨ¹ýÎÞÏßÍøÂç½øÐÐÊý¾Ý½»»»ÊµÏÖÎÞÏßÇý¶¯,ÍêȫʵÏÖÁ˶ÔÇøÓòÅ©ÌïÉÊÇé¼à²âµÄÎÞÏß²Ù×÷Ë«ÏòÐÅÏ¢´«ÊäºÍ¹à¸ÈÇý¶¯¡£

ÒÔÎÞÏßÍøÂçÎªÔØÌåµÄͨѶÇý¶¯¿ØÖÆÄÜɨÃèºÍ¼àÊÓÖ¸¶¨É豸²¢×Ô¶¯¾ö¶¨ÐèÒªµÄ¿ØÖƹ¦ÄÜ¡£¸ù¾Ý±àºÃµÄÓ¦ÓóÌÐòÒªÇó¶ÀÁ¢Íê³É¸÷ϵͳ²¿¼þµÄ²Ù×÷,²¢ÓëÈκÎÖ¸¶¨µÄÖն˺͵綯ִÐÐÆ÷½øÐÐͨѶºÍ²Ù×÷,²¢½øÐÐÊý¾Ý½»»»¼°Ë«ÏòÔ¶¶¯,ÓÉÓÚÏÖ³¡¿ØÖÆÆ÷ÊÇÏà¶Ô¶ÀÁ¢µÄ,ËùÒÔÌá¸ßÁËÕû¸ö¿ØÖÆÏµÍ³µÄ¿É¿¿ÐÔ¡£
ÏÖ³¡¿ØÖÆÆ÷×÷Ϊһ¸öDDC ͨÓÿØÖÆÆ÷,Ö´ÐÐ(DDC) ²Ù×÷Ö¸ÁîÍê³ÉÕû¸ö¹à¸ÈÇøÓòµç¶¯Ö´ÐÐÆ÷¹ý³ÌÇý¶¯ºÍÖ±½Ó¿ØÖÆ,²¢¸ºÔð¶ÔÕû¸ö¿ØÖƹý³ÌµÄ¹¤ÒÕ²ÎÊý½øÐмàÊÓ¡¢µ÷Õû,ÊÊÓÃÓÚ´óÌï¡¢ÉèÊ©ÔÔÅà»·¾³µÈÓ¦ÓñȽϸ´ÔÓµÄ×Óϵͳ¡£±¾ÏµÍ³µÄ´ó²¿·Ö½Ó¿ÚÉè¼ÆÊÇÂú×ã¼æÈÝÒªÇóµÄ¡£Ä£ÄâÁ¿ÊäÈë(AI) ÓëÊý×ÖÁ¿ÊäÈë(DI) ¼æÈÝ,²¢¿ÉÓöàÖÖÀ©Õ¹°åÀ´Âú×ãÏÖ³¡¿ØÖƵÄÐèÒª,¾ß±¸À©Õ¹ÐԺͱä¸üÐÔ¡£
6 ¡¡Óû§²Ù×÷ϵͳ
ÔÚÕû¸öÅ©Ìï¡¢ÉèÊ©ÍÁÈÀÉÊÇé¼à¿ØÏµÍ³ÖÐ,ϵͳ²»½öÄÜÌá¹©ÇøÓò¹à¸È¾ö²ßÊý¾ÝºÍÏà¶ÔÓ¦µÄ¾«Á¿×Ô¶¯¿ØÖÆÄ£Ê½,»¹Ô¤ÉèÁ˳£ÓõĿØÖÆÄ£Ê½,Óû§¿ÉÒÔ·½±ãµØÑ¡ÔñËùÐèµÄģʽ¡£Óû§ÔÚ²Ù×÷¹ý³ÌÖл¹¿É¸ù¾Ý×Ô¼ºµÄÐèÒª×ÔÓɵØÉèÖÿØÖÆÁ÷³Ì,½«Èô¸É¹à¸È×éÉèÖóÉÒ»¸ö»òÈô¸É¸ö×鹤×÷,ʵÏÖÅ©Ìï¡¢Éèʩϵͳ¹à¸È¹¤×÷´ÎÐòµÄÈÎÒâÉèÖÃ,Íê³ÉÇøÓòÈÎÒâÒ»¹à¸È×éµÄ¿ªÆô»ò¹Ø±Õ¡£Óû§¿É¸ù¾ÝÉ趨µÄʱÐò×Ô¶¯Íê³ÉÅ©Ìï¡¢ÉèÊ©¹à¸È,¶¨Ê±Æô¶¯Ô¤ÉèµÄ¹à¸È¹¤×÷Á÷³Ì¡£ÔÚϵͳÍê³É¹à¸È¹¤×÷Á÷³Ìºó,Óû§¿É½«×Ô¼ºÉ趨µÄ¿ØÖÆÁ÷³Ì±£´æÒÔ±¸Öظ´Ê¹ÓÃ,²»±ØÃ¿´Î¹¤×÷ǰ½øÐÐÉ趨¡£¼ÆËã»úϵͳ²Ù×÷ƽ̨¹¤×÷״̬ͼ±êÓë¹à¸ÈÏÖ³¡ÊµÊ±¹¤×÷״̬ʵÏÖ¸ú×ÙÓëͬ²½¡£
7 ¡¡½á¡¡ÂÛ
ÀûÓÃÇøÓòÅ©Ìï¡¢ÉèÊ©ÍÁÈÀÉÊÇé¼à²âϵͳÑо¿³É¹û,²ÉÓÃÏÖ´ú¾«Á¿¹à¸È¼¼ÊõºÍÉúÎï¼¼Êõ,¶Ô×÷ÎïÉú³¤µÄ±ØÒªÌõ¼þ½øÐÐ×ۺϵ÷¿Ø,Ϊ×÷ÎïÌṩÊÊÒ˵ÄÍÁÈÀË®·ÖÑø·ÖÌõ¼þ,ʹ×÷ÎïÓÅÖʸ߲ú²¢¼õÉÙÎÞЧÕô·¢Ëðʧ,ʵÏÖũҵµÄ½ÚË®¡¢½ÚÄܺͻ·±£µÈÄ¿±ê¡£¼¯³Éũҵˮ×ÊÔ´¸ßЧÀûÓúÍÊý×Ö¾«×¼×÷Òµ¼¼ÊõÁìÓòµÄÑо¿³É¹û,¶Ô¾ßÓеØÇø´ú±íÐÔÇÒ¹æÄ£»¯ÖÖÖ²µÄÒ©ÓÃÖ²Îï¡¢¹ûÊ÷¡¢»¨»Ü¡¢´óÌï¾¼Ã×÷ÎïµÈÊµÊ©ÇøÓò»¯ÍÁÈÀÉÊÇé¼à²âºÍ¾«Á¿¹à¸È¼¼Êõ,Æä½ÚË®ÓëÔö²úЧ¹û¼«ÆäÃ÷ÏÔ¡£
ÔÚ¼à²âÍÁÈÀÉÊÇéµÄͬʱ,ÓëÖÖÖ²×÷ÎïÐèË®Á¿Ïà½áºÏ,¿ÆÑ§È·¶¨¹à¸ÈÓÃË®¼Æ»®¡£ÒÔ¹àÇøÍÁÈÀÉÊÇé¼à²â×÷Ϊ¹à¸ÈÓÃË®¹ÜÀíµÄÖ÷ÒªÒÀ¾Ý,¸ù¾ÝÆøÏó¹Û²â×ÊÁÏ¡¢ÍÁÈÀÉÊÇé×ÊÁÏ¡¢×÷Îï³¤ÊÆ×ÊÁϵÈÈ·¶¨×÷ÎïµÄ¹à¸ÈË®Á¿¼°¹à¸Èʱ¼ä,¼°Ê±ÌṩÓÃË®ÐÅÏ¢,´Ó¶øÊ¹Å©Òµ¹à¸È¹ÜÀí¸ü¼Ó¿ÆÑ§¡¢¾«È·¡£
ÓÉÓÚÆøºòÉú̬»·¾³ºÍ±»¹à¸ÈÇøÓòµÄÌõ¼þ²»Í¬,Ïà¶ÔµÄ½ÚË®²ßÂÔÒ²Ó¦¸÷ÓÐÌØµã¡£ÇøÓòÅ©Ìï¡¢ÉèÊ©¾«Á¿¹à¸È²»½öʵÏÖÁËÅ©×÷Îï¹æÄ£»¯ÖÖÖ²¡¢ÓÅÖÊÓë¸ß²ú,»¹ÓÐЧ·ÀÖ¹ÁËÍÁÈÀÑμºÍ°å½á,Ϊ±£»¤Éú̬»·¾³,¿¹ºµ¼õÔÖ·þÎñ¡£Ëæ×ÅÎÒ¹úȱˮµØÇø¶Ô½Úˮũҵ¼¼ÊõµÄ²»¶ÏÐèÇó,ÇøÓòÅ©ÌïÍÁÈÀÉÊÇéGMS ÍøÂç¼à²â¡¢¹à¸È¾ö²ß¼°¾«Á¿¹à¸Èµ÷¿Ø¼¼ÊõÔ½À´Ô½Êܵ½ÖØÊÓ,±Ø½«È¡´ú´«Í³µÄ¹à¸È¿ØÖƼ¼Êõ,ÆäÓ¦ÓÃÃæ»áÔ½À´Ô½¹ã,¾ßÓÐÖØÒªµÄÓ¦ÓüÛÖµºÍ¿ÆÑ§ÒâÒå,ͬʱΪÎÒ¹úÂÌɫũҵµÄ¿É³ÖÐø·¢Õ¹Ìṩ¼¼ÊõÖ§³Å¡£
- ¡¾ÖйúũҵÒÇÆ÷Íø¡¿ÉùÃ÷²¿·ÖÎÄÕÂ×ªÔØ×ÔÆäËüýÌå£¬×ªÔØÄ¿µÄÔÚÓÚ´«µÝ¸ü¶àÐÅÏ¢£¬²¢²»´ú±í±¾ÍøÔÞͬÆä¹ÛµãºÍ¶ÔÆäÕæÊµÐÔ¸ºÔð£¬ÇÒ²»³Ðµ£´ËÀà×÷Æ·ÇÖȨÐÐΪµÄÖ±½ÓÔðÈμ°Á¬´øÔðÈΡ£ÈçÉæ¼°×÷Æ·ÄÚÈÝ¡¢°æÈ¨ºÍÆäËüÎÊÌ⣬ÇëÔÚ30ÈÕÄÚÓë±¾ÍøÁªÏµ¡£
- ÉÏһƪ£ºÇ³ÎöעˮÈâΣº¦¼°Ê¶±ð·½·¨
- ÏÂһƪ£ººÓÌ×¹àÇøÍÁÈÀÉÊÇé¡¢ºµÇé¼à²âÍøÕ¾µÄ..
ÍÆ¼öÒÇÆ÷
×î½ü¸üÐÂÒÇÆ÷
Ïà¹Ø¼¼ÊõÎÄÕÂ









