叶绿素a的测定
叶绿素广泛存在于果蔬等高等绿色植物中,与蛋白质结合成叶绿体。高等植物中叶绿素有两种:叶绿素a和叶绿素b。这两种叶绿素都溶于乙醇、乙醚、丙酮等有机物。叶绿素是绿色植物进行光合作用的必需因子,在光合作用中起到吸收和传递光能的作用。其中叶绿素a的分子式为C40H70O5N4Mg,叶绿素a的分子结构由4个吡咯环通过4个甲烯基(=CH—)连接形成环状结构,称为卟啉(环上有侧链)。卟啉环中央结合着1个镁原子,并有一环戊酮(Ⅴ),在环Ⅳ上的丙酸被叶绿醇(C20H39OH)酯化、皂化后形成钾盐具水溶性。在酸性环境中,卟啉环中的镁可被H取代,称为去镁叶绿素,呈褐色,当用铜或锌取代H,其颜色又变为绿色,此种色素稳定,在光下不退色,也不为酸所破坏,浸制植物标本的保存,就是利用此特性。
利用分光光度计进行叶绿素a的测定,是最普通的测量叶绿素a的方法。利用分光光度计,首先测定叶绿素提取液在最大吸收波长下的吸光值,叶绿素a在645nm和665nm处有最大的吸光值。然后利用朗伯—比尔定律计算出提取液中各色素的含量。朗伯—比尔定律的数学表达式为A=lg(1/T)=Kbc ,其中A为吸光度;T为透射比,是投射光强度比上入射光强度;c为吸光物质的浓度;b为吸收层厚度。
叶绿素a的测定过程
首先介绍下我们在测定过程中要用到的仪器:分光光度计、天平、研钵、棕色容量瓶、小漏斗、定量滤纸、吸水纸、擦境纸、滴管;准备几片新鲜的植物叶片;准备96%的乙醇(或80%丙酮)、石英砂和碳酸钙粉。
然后具体操作如下:取新鲜植物叶片(或其它绿色组织)或干材料,擦净组织表面污物,去除中脉剪碎。称取剪碎的新鲜样品
然后根据资料上提供的叶绿素a的计算方法,就可算出新鲜的植物叶片叶绿素a的含量。具体公式如下:
叶绿素a=(
叶绿素b=(
总叶绿素a=(

图 分光光度计
另一种叶绿素a的测定方法—荧光光度法
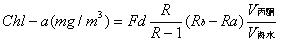
近年来,海水叶绿素a含量测定的分光光度法已逐渐被较简便且灵敏度高的萃取荧光法代替。其原理是叶绿素a的丙酮萃取液受蓝光激发后产生红色荧光,用荧光计在波长670nm测定提取液酸化前后的荧光值,按下式计算海水叶绿素a的含量:
(1)
式中,Rb—酸化前荧光值;Ra—酸化后荧光值;R—纯叶绿素a的酸化因子(随仪器而异)。因
(2)
式中, Fd—测定时荧光计所用量程的换算因子(mg/m3),其值的确定有几种方法,具体介绍如下:
⑴标准叶绿素a校正法:用纯叶绿素a配成母液,把母液稀释成一系列不同浓度的溶液并分别测定荧光读数,最后用直线回归法算出标定线的斜率,即Fd。
⑵分光光度计校正法:取一定体积处于指数生长期的单细胞藻类,按分光光度法测定叶绿素a的方法,测其吸光值E,按公式chl-a = 11.85E664-1.54 E647-0.08 E630 =Cchl-a计算该提取液的Cchl-a。然后将它在荧光计上测定荧光值Rb,按(3)式求得Fd。本实验采用分光光度计校正法。
(3)
- 【中国农业仪器网】声明部分文章转载自其它媒体,转载目的在于传递更多信息,并不代表本网赞同其观点和对其真实性负责,且不承担此类作品侵权行为的直接责任及连带责任。如涉及作品内容、版权和其它问题,请在30日内与本网联系。









